心情故事...當人類登陸月球
2025/07/02 04:27
瀏覽280
迴響0
推薦6
引用0
心情故事...
標題也許要改成 當AI(或者外星人)來襲
大約是我初中的時候 人類登上月球 廣播聲中 隔壁阿婆滿臉不屑:騙瘋子...
Hey Darling:
Use my ATM card , take any amount out.
Go shopping and take your friend out to lunch too.
Pin Code : 
I Love You Honey !
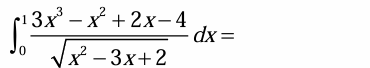
宣稱積分值為157079 是ATM的密碼
老李要我用AI算一下積分值
DeepSeek算不出來 然後丟一個答案 -17pi/8 ChatGPT直接看錯題目
其實這是一個玩笑 積分函數圖形在x軸下方 0~1之間 圍出的面積不到3
網際網路剛開始 數據機嘎嘎作響 申請網路要到教育局 先得學校教務主任簽章
這網際網路對教育有幫助嗎 ?主任這麼問
我笑笑 沒有出聲
當AI來襲 有人閃躲 有人面對 我已不可或缺
好好接待這個朋友吧 友直 友諒 友多聞
你可能會有興趣的文章:
限會員,要發表迴響,請先登入












