橢圓函數
2025/04/07 06:33
瀏覽250
迴響0
推薦4
引用0
橢圓函數

前幾天跟M上課,說到橢圓的參數式與離心率,其實是閒話,現在高三標準課程是不教的。
昨天,心血來潮又把單擺(simple pendulum)看了一下,書上說要弄清楚單擺的運動方程須看一下橢圓函數,於是我請教DeepSeek,順便在李奧納多(leonardo.ai)生成左圖,自嗨一下。
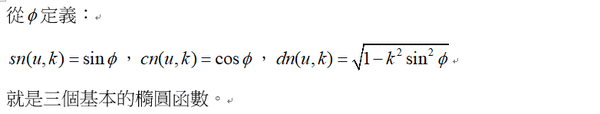
一直不清楚何謂橢圓函數,原來如此簡單!
與下圖橢圓參數式的生成有密切關係,
簡單地說,動點在圓上跑對應三角函數,橢圓上的點P就對應橢圓函數。
擺動角度不大時,單擺作週期運動,是正餘弦函數,否則就是橢圓函數。 橢圓函數是雙週期有點複雜。







你可能會有興趣的文章:
限會員,要發表迴響,請先登入










