毛起來說e
2021/09/18 09:37
瀏覽252
迴響0
推薦4
引用0
有一套書 毛起來說...是Eli Maor(1937~ )寫的 很適合當作高中生的課外讀物
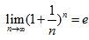
e是甚麼
很久以前 高中數學會教
用到實數的完備性:一個漸增有界的數列收斂
最近因為教APCalculus 出現
,
,
不太清楚該怎麼定義e 可以讓教學乾淨俐落
懸練線的方程式是
很久以前在科學月刊上看到 解微分方程得到此方程式
本書當然不免俗地 會提到最美的數學式
這種抽象的美有很深的內涵 就像Stokes定理可以寫成一本書
從微積分基本定理 向量分析 一直到黎曼幾何上
就像會下圍棋的人 看到一盤棋 一個棋譜 可以感受到棋的"力量" 欣賞美 必須有一定的素養
我想 e,pi,黃金數,普朗克常數,光速,哈伯常數H,宇宙常數^,...一定有甚麼道理 只是我還沒弄懂

到底何謂美 左圖是倒懸練曲線造型 可以感受到美感
日本有一種侘寂美學(wabi sabi)的建築 說是 素樸日常 有無常的禪味 建築的地基要大 且造價不凡 又說是 強調簡單樸素 真是不懂
/...
有一個東西稱為指數映射(exponential map)在黎曼幾何與李群中很重要
一.

JH說exponential map是用來定義normal座標或geodesic座標 以簡化計算。
這一點我還不了解 大概是還沒遇到
二.

Lie algebra是一個帶Lie bracket的向量空間(在M的單位元e的切空間)
在李群與李代數中 旋轉群的表現為M,生成元為X

你可能會有興趣的文章:
限會員,要發表迴響,請先登入












