今天中午舊同事/飯友順年、Michael、Trinny、Jennie 等四人邀我到庫比蒂諾共進午餐。
之前他們打電話來時拼命抱怨說我幹嘛兩年多來都不理他(她)們。我則拼命解釋自己如何因在臺過久,女兒將我手機停話所以接收不到訊息;返美後復因停話故 contacts 盡失,無法主動聯繫任何人,只好坐等他人來電云云。
Anyway 大家一見面就歡天喜地,不管什麼 complaint 都煙消雲散了。
順年是較我年長的廣州人,喜歡聽我講兩岸政論/政罵,立場偏向大紀元(法輪功)。我也喜歡大紀元但不以「為反共而不顧一切」為然,特別是為此傾綠。不過我倆向來同心,沒有 confusion。
順年有個高大英挺,一百九十幾公分的帥氣兒子,人見人羨。
Michael 是住在離我家不遠處的福州帥哥,四十幾歲同樣也高大英挺。因見我買臺 BMW Z4 小跑立馬買一部 528i 後又因我給吾婆買臺 335i 方知原來 BMW 的後兩數字代表引擎大小(335i 是 3500 cc,528i 是 2800 cc),大為不滿告我曰:「搞半天我還買了臺殼大引擎小的車子」!我只好安慰他說殼大舒服,引擎小省油。可是他不想要省油舒服,他要大馬力,而且兩隻排氣管要分開兩邊,不要排在一起!
我也沒辦法只好告訴他說,我現在的電腦桌布用的是他買 BMW 528i 後我去他家拍到的新車照片,我真的愛死了他的 528i。
Michael 有兩個唸中學的漂亮女兒 —— 跟他老婆一樣美到不行,同樣人見人羨。
Trinny 是五十左右「心碎」過,來自越南的華裔單身女郎,心地善良有些豐滿,常被好友 Jennie 捉狹。以前當 Jennie 告訴我她男友有點「不乖」的時候,我正色告 Trinny 說:「He breaks your heart, I break his leg」。言簡意賅,沒有疑問,Trinny 為之懍然。Trinny 和 Jennie 都是越南華裔粵人,和她們講英語比較通。
Jennie 是四十出頭兩個孩子的媽,個子不高精明幹練好吃又愛玩,和老實的 Trinny 是多年同事兼老友。
不管怎樣起頭反正我們在一起吃午飯便當已久,無話不談也水乳交融。
好,一行五人見了面尖叫擁抱,握手言歡後,點菜吃飯完全無人在意。大家忙的都是互相問清這陣子你我都在幹嘛、滑手機讓人看自己照片、我兒子妳女兒他老婆如何如何等等,根本沒有人在吃飯,真是良辰苦短!
當我看過順年一九幾公分的帥氣兒子,Michael 一家美若麻豆的女眷,Trinny 在加勒比海的性感泳裝,和 Jennie 偕漂亮兒女在日本神社(and 她在臺灣夜市怎麼吃)的旅遊相片後不禁讚嘆吾友們個個幸福美滿人神共羨有如天上人間。
然後他們開始問我要照片。可是我過去兩年來最傑出的成就只是參加過十一個喪禮,除此乏善可陳,慌忙間只好亂滑一陣,結果滑出吾婆二十出頭時在溪頭拍的這張照片:

大家看過後讚不絕口,驚豔沈默歎息。三個老廣不約而同說:「龜吼懶罄蛤」。我聽起來像是臺灣北海岸龜吼鄉的某種蛤類料理,有點失望。吾婆那時年輕貌美,無論如何也算略具姿色,怎麼會是龜吼懶罄蛤呢?
Michael 和我弄很久後才知道原來他(她)們是在說「這是林青霞」!
林青霞是大美女,這樣 compliment 我愛人我當然沒意見了 —— 本尊都會滿意的 comment 我還囉唆什麼?
Anyway...一頓飯下來真的是非常愉快。臨走前大家握手擁抱半天,他們捨不得走又跟著我來到小紅車前。幾個人一陣驚聲尖叫,我只好哪裡哪裡...沒有沒有...你們明知不是新車...上次不是才見過嗎...誰天天打蠟呀...哎喲我才沒那閒工夫...等等以杜悠悠眾口。
到後來我只好說:「Ok you guys,下次我們見面我會騎一臺本田重機,我有 both 美國和臺灣執照。Trinny 如果妳不忙我會 take you for a joy ride」。

慧黠的 Jennie 馬上說:「所以她會從後面抱緊你對不對」?
我說:「Oh yeah, the faster I ride the tighter she holds」。
Jennie 和 Trinny 早已笑到不行。
我接著說:「然後我會踩緊急剎車」。
Michael 和順年鼻血狂噴翻倒在地。這兩個老色鬼!
然後我指著自己的頭說:「我想這樣想很久了」。
已經沒有人在呼吸,四個人全笑到岔氣。
- 16樓. GolfNut — 無心的邂逅2015/08/26 02:30玄秘現象有一樁
酒友 David 說他發生了一件很玄的事。他去墓地參拜叔叔,回來後渾身不適,腹瀉,接下來幾天內暴瘦十五磅。
我自己三年前因在西湖岳墳近距離參拜、環繞、照相,之後當場(在西湖外)暈厥,回酒店後渾身不適,腹瀉、嘔吐(兩次)。
吾婆返美前在五指山向母親道別,也因風景優美忍不住來回拍照,之後回家嘔吐不已。
小叔在 LA 因需決定母親墓地銅版(一般平放在地)文字,拍好多張別人的以為參考,當天回家也是嘔吐腹瀉。
因有多次「經驗」,我問 David 是否有照相、嘔吐,他點頭稱是。
這種東西確是現象,而且可以 repeat。可沒有解釋、証明就不能算科學。有人此時就會 invoke「相信」。
不要相信,存疑就好。下次有機會自己做實驗以觀後效,蠻好玩的。
若只是遠景泛拍,或親人墳地好像就不會有事。我這次去 LA 參加小祖母喪禮就有特別注意。
還有就是美國墓園完全平坦,分成一格一格,有地樁為界。走在上面要沿地樁間的假想直線,不要踩踏在死人身上。土葬還是有的,只是不像臺灣那樣一窟窟隆起,從外表看不出來人在哪裡。
GolfNut — 無心的邂逅 於 2015/08/26 05:21回覆 - 15樓. Timothy2015/08/25 14:36紐約街邊的Pita我以前也經常吃,有次要了個Pita夾雞肉,老闆問我還要夾什麼,隨口回他Fries,然後請我表哥等在那邊我去買飲料,等拿回辦公室吃的時候一咬下去滿口米飯,老闆跟我表哥都把Fries聽成了Rice,我也就吃了這輩子第一個Pita包飯
我第一次去紐約時是出公差,二十幾歲自己一個人。每天早上起來上班前在路口某小攤買塊 pizza 餅當 branch。老闆後來熟了問我:「你都靠我的 pizza 過活對不對」?害我很不好意思。不過他的 pizza 有大量 cheese,會「牽絲」,還真好吃。
那時的美國老板有臺 Porsche 911,每次我們去新澤西、賓州都是我開。那部車不玩假的,開起來全是純種跑車的風格。老板很夠意思,我開再快也不在意,警察抓到開罰單他二話不說照付就對。我想他很得意。
GolfNut — 無心的邂逅 於 2015/08/25 16:38回覆不像我現在開跑車,速度直如「遠離非洲」慢條斯里的勞伯瑞福,在 local 路上哼哼哈哈從不超過 40 mph,小道上更是遵守 25 mph 的速限,連警察看了都傻眼。我看再慢點他就要開我罰單了。
吾婆有次坐我的車時曰:「這是全世界開最慢的跑車」!
Oh yeah?有大量時間供我揮霍的意思是什麼?時間就是 what?
GolfNut — 無心的邂逅 於 2015/08/25 16:51回覆 - 14樓. Timothy2015/08/25 11:43荷蘭有個著名小吃叫做Loompia,衲兄可以考慮也在美國推廣推廣
這和英文裡的 rumbia 一樣都是潤餅也。潤餅的英文我在唸高中時字典裡意外發現,讀音類如閩語「潤餅」,拼法想不起來,現在找也找不到,但應是潤餅無誤。
麵皮包什麼來吃的做法大概任何文化都有,墨西哥的 taco,borrito 也很好吃。
GolfNut — 無心的邂逅 於 2015/08/25 14:00回覆 - 13樓. GolfNut — 無心的邂逅2015/08/24 03:29朋友就是要好
星期六是在朋友家吃潤餅喝酒聊天的好日子。男的在後院喝酒兼吹牛,女的在裡面弄吃的還有 serve。ㄟ...反正裡面最好看的衲個就是我啦!
- 12樓. GolfNut — 無心的邂逅2015/08/22 17:11不頭痛不頭痛保證不頭痛
好吧,沒有人來告訴我臺灣現況,我也不想知道。繼續來聊相對論。
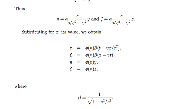
一列一百公尺長的火車在鐵軌上高速飛馳。該列車車頭車尾都裝有漆罐,由列車正中央的某系統控制。在高速經過某車站時列車長按下按鈕,漆罐噴出油漆在鐵道上留下漆痕。
之後火車倒車回來車站現場,經量度後發現兩漆點間的距離不是 100 公尺,而是 106 公尺。
站在月臺上目睹此一事件的人們無異議認同:106 公尺就是 106 公尺,他們早已量過 —— 只不過兩造的解釋互異。
列車上的人解釋說,因為火車速度太快,之於列車是鐵軌在往後飛馳。根據羅倫茲空間收縮,鐵道在收縮的狀態下被噴漆,現因鐵軌不再移動所以也不收縮了,漆點間距量起來當然長過 100 公尺。以鐵軌飛馳速度用 Lorentz contraction 算出來剛好是 106 公尺,毫無疑問。
月臺上的人完全不同意,他們說,根據他們的觀察,漆點間距長於列車長度 100 公尺的原因是這樣的:
當列車長按下按鈕的瞬間,車尾和車頭的時間顯示兩者確實都在(譬如說)正午十二點整噴出油漆,問題是車尾的時鐘顯示正午十二點整時車頭的時鐘尚未達到正午十二點;車頭的時鐘顯示正午十二點整時車尾的時鐘已經超過正午十二點。也就是說,列車長所謂的「同時」只是數字同時(正午十二點),實際上並不同時。
既然車尾漆罐先噴,車頭漆罐後噴,兩漆點間的距離長過 100 公尺理所當然。
用 Lorentz factor 一算列車頭尾時間差異乘上列車速度剛好是六公尺,這才是為何漆點間距為 106 公尺的正解。
誰對?兩者都對。
但為什麼火車上的人以空間收縮來解釋,月臺上的人以時間稀釋來解釋,不但都對結果還完全一樣,都是六公尺毫釐不差?
這,你就得好好想想空間和時間的關係了。月臺上的人根本不同意鐵軌有在收縮,因此毫不同意列車上人的解釋,只同意他們結論導出的 106 公尺;火車上的人根本不同意列車頭尾時鐘有所不同,因此毫不同意月臺邊人的解釋,只同意他們結論導出的 106 公尺。
真相是什麼?真相是不管你拿空間或時間來解釋都行,只要結論正確就對。這就是相對論 —— 空間和時間都只是相對,萬勿執著;只有速度絕對,千萬牢記。
GolfNut — 無心的邂逅 於 2015/08/22 17:31回覆 - 11樓. GolfNut — 無心的邂逅2015/08/21 16:42不要對相對論失去興趣...
距離除以時間等於什麼?
小學生都知道答案:「等於速度」。
相對論以速度為絕對,以空間(距離)和時間為相對;講白了就是相對的空間和時間造就出絕對的速度。這剛好和我們的直覺相反。
臺北到高雄幾公里怎麼會是相對的呢?難道甲說四百、乙說三百、丙說兩百公里然後大家都對?
「娘家」一集播出一小時怎麼會是相對的呢?難道甲說一小時、乙說三十分鐘、丙說五分鐘然後大家都對?
如果相對論正確,莫非空間告訴時間:「你去稀釋,我來收縮」,或時間告訴空間:「你去收縮,我來稀釋」,兩兩相互配合以造就速度的絕對嗎?
當然不是。只不過在最深層的意義上這表示時間和空間在本質上或許並不如你我想像中那麼不同,它們只是一體的兩面。
這個「一體」叫做「時空」(spacetime),它是一個東西,不是「時間加空間」這兩個東西。打個不太成體統的比方,「尷尬」是什麼意思?哪個是尷、哪個是尬?
根本是同一個東西,兩種說法。
空間並不絕對,它伸縮自如;時間也不絕對,它濃淡隨意;空間除以時間出來的速度倒相當有把握:「你們本該配合我,吾乃 absolute」,無論光速或次光速 —— actually 任何速度 。
相對論的精義在於:宇宙時空皆非絕對,而是濃淡不一伸縮自如的東西,倒是速度這東西(雖然相對)反倒因時空的完全配合造就出它(相對)速度的絕對本質。
特殊相對論只有一個主題:速度。
廣義相對論也只有一個主題:重力。
考試來講我絕對考不到一百分(我真的考過,而且及格;觀念正確,計算有誤,老眼昏花也),但我寫出來的一定正確,高本衲絕不誑你。
『我寫出來的一定正確,高本衲絕不誑你』
千萬別立刻 invoke「相信」或「不相信」。自己先去想辦法搞清楚,然後就知道事實真相,看我是否「一定正確」。正確的話不消多說船過水無痕,不正確請馬上來海扁我 —— 本格最近有點沈悶。
可是我又不想太了解臺灣現況,有點怕看臺灣新聞。有沒有人願意來訪客簿悄悄話告訴我 2/3 臺灣人是否變態依舊,或略有起色?
GolfNut — 無心的邂逅 於 2015/08/21 17:09回覆 - 10樓. GolfNut — 無心的邂逅2015/08/20 13:34我一定能搞到你完全懂相對論
在日常速度下 v 遠小於光速 c 因此羅倫茲因子 gamma 接近 1,以此空間收縮和時間稀釋於我輩而言近乎不存是以渾然不覺。這樣講有沒有疑問?
如果我們地球所處的空間縮小一半,地球上的 everything 都縮小一半,沒有一個人會察覺有任何不同。這和保麗龍模型製品縮小一半不同,不是東西在縮,是空間本身在縮。
同樣如過明天一早起來我們的時間全部變快或變慢,全世界也不會有一個人察覺有任何不同。
之於光子我們地球是怎樣?宇宙都縮成一個數學原點你想地球、你我,會是什麼狀態?
之於光子你我高壽四五六十好幾算什麼?於它,時間毫無意義,你活ㄧ百億年也一樣。它不懂時間是什麼,就像我們不懂「永恆」是什麼。
GolfNut — 無心的邂逅 於 2015/08/20 14:31回覆 - 9樓. GolfNut — 無心的邂逅2015/08/20 09:12來復習一下相對論的精義
女士們來之前我們三個在閒聊,Michael 和順年問我在臺灣都幹嘛(除了參加 11 個喪禮外),我說打球和修相對論。
他們問我相對論怎樣?我說相對論只是一篇 paper,一個式子就可以交代完畢:

最極端的例子譬如光子,它的運動速度 v 等於光速 c 時,分母將變成零,一除以零等於無限大,上面這無限大的 gamma 將空間無限 contract。無限收縮是什麼意思?
意思就是宇宙空間再大對光子來講還是收縮成零,一個零度空間在任何方向都無距離的數學原點。所以光子根本不必「飛去」哪裏,它本來就已經「在那裏」。
Lorentz factor 不只適用於空間的收縮,也適用在時間的稀釋上,叫 time dilation。時間的稀釋意思是這樣的:如果你過一天於我等同只過一小時,我的時間比你的「稀」,你的比我「濃」。
之於光子,時間對它來講將無限稀釋,「無限稀釋」是什麼意思?無限,代表時間之於光子「永不開始」。我們的宇宙有一百三十七億年「老」,可是之於光子,它連一秒鐘都沒老,光子的時間永不開始。
下次有機會向朋友們用一句話介紹相對論,你就說:「之於光子,宇宙是一個沒有時間、大小為零的數學原點」。
Lorentz factor 也決定了宇宙可能的最高速度 —— 光速,看上面的式子就明白。
你上網 google 幾個字:「the original paper of Einstein's special theory of relativity」馬上就會找到這篇:on the electrodynamics of moving bodies - Fourmilab
這是已經從德文翻成英文的 paper。不管看懂多少,羅倫茲因數的存在比比皆是,時間、空間,全部一樣:






不要再懷疑了,宇宙的時空確實這麼回事,我們的感覺一點都不重要。如果我們只是資訊(information),我也沒有遺憾,it is what it is。
GolfNut — 無心的邂逅 於 2015/08/20 09:52回覆『下次有機會向朋友們用一句話介紹相對論,你就說:「之於光子,宇宙是一個沒有時間、大小為零的數學原點」』
而且不要怕會講錯 —— 你有已證為真的數學式子做靠山。Lorentz factor 一百年來不是無緣無故在那裡的。
GolfNut — 無心的邂逅 於 2015/08/20 10:11回覆 - 8樓. GolfNut — 無心的邂逅2015/08/18 09:43Signature hole 小插曲
一行四人來到 signature 的第十八洞。老柳說這是本球場最知名的一個 long par 4,且不忘 mention 我第一次來時就打了個 par。
這洞要打 par 並不容易,首先要開出一記既長又遠的發球,還得左勾。第二杆仍得左勾,長度的話至少也得有兩百碼,而且一定要打上果嶺。打上果嶺想兩推進洞也不容易,這果嶺高低起伏變化萬千,一不小心就是三推。
兒子打了個六杆,哀聲嘆氣。我打了不知幾杆,只記得當場向大眾宣告:「Now you know how good I WAS」!
老柳笑逐顏開說:「我會永遠記得你的 par,我自己從來都沒打過」。
在球道上打第二杆前遠方有一身著長裙華裔女郎背著相機自右而左飄然緩緩踱步橫過我們的球道,四個人傻眼之餘當即明白此女完全不知自己身在何處,更別說高爾夫,只以為自己在公園閒逛,優雅高尚。
這裡是舊金山,是嘻皮和 woodstock 的發祥地,沒有一個人不用藥吸毒嗑大麻,頭戴花圈大跳太陽之舞的人到處都是,說不定這位女郎正是今世嘻皮。
兩個 Hippie 世代根本尚未誕生的小鬼因此對她敬畏有加,不敢發聲,只遠遠觀望。我和老柳因心知肚明小女郎只是搞不清楚,為禮貌故耐心等她橫過球道。
直到她忽然彎腰撿起 How 的球。
四個人一齊同聲呼嚎:「Oh no, please don't do that」!
哎,同胞呀,別出了國、丟了臉還搞不清楚,行不行?
回家路上我一直向兒子解釋,保證她絕對沒吸大麻。
- 7樓. GolfNut — 無心的邂逅2015/08/17 16:14Final day on 2015 PGA Championship
如下
星期天是打球天,在舊金山 Harding Park 球場,和三十年球友老柳及其長子 How。我們今天不開車,四個人都走路。
兒子今天成績毫不斐然,我更不用講,他九十多我一百幾,事實如此沒什麼好隱瞞的。小子不到三十回家路上居然跟我說他可能需要買臺三輪推車,因為「揹球杆走十八洞太辛苦了」,真他媽的沒用!
Anyway 今天氣溫一百多度可能也是肇事元凶,我不怪他更不怪自己。
何況小子還打出兩個 birdie 和幾支 par,只是其他的洞成績太差所以乏善可陳。這裡是美國所以我們不說:「歐巴馬無能」,在臺灣的話你且看我怎麼說嘴。
好啦如果不管杆數我必須說,兒子今天確有四洞開出三百碼上下的佳績。這種我得等下輩子才打得出來的距離無論如何都該還他一個公道。
在某個 315 碼 par 4 的球道我鼓勵他一杆打上果嶺。問題在 280 碼左右 fairway 右邊有一大片參天古木,球道右狗腿且球洞躲在古木後方。
我假裝自己是 caddie 向他獻策,說打古木左邊一個右曲球(fade)讓球彎上果嶺。兒子不以為然說,如果這樣打當球正要彎時一定剛好碰上古木。
他以為直接打個既高又遠又直的發球攻上果嶺才是正辦。我期期以為不可 —— 沒有人能把開球打到 280 碼時還能「既高又遠」躲過十層樓高的千年古木。
Anyway 我不是他,講也講不動。反正也不是比賽,何況我也不是他真的 caddie,只是他老爸,所以算了隨他去。
小子 driver 一揮強猛無比宛如爆炸居然還真從 280 碼外的參天古木群上越過,直奔 315 碼外果嶺而且一杆而上直接落在洞邊。
他媽的就是他媽的,我鼓掌就是了沒什麼話好說。本來就是我兒子有什麼好妒嫉的?
GolfNut — 無心的邂逅 於 2015/08/17 16:25回覆















