關於體積
2025/04/19 15:06
瀏覽313
迴響0
推薦4
引用0
有一底面半徑為4公分的圓柱體,傾斜漂浮在靜止的水面上。
水面剛好通過底面直徑且與底面成 。求此圓柱體在水面下的體積。

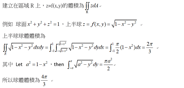
先說明如何求體積:


多寫一點
The shell method(柱殼法)
Consider the following region,bounded by functions f(x) and g(x),that intersect at x=a and x=b。
What is the volume of this region if rotated about the y-axis?


後記
這是109年興大附中教師甄試的題目
原題目 圓柱的底圓半徑是3
這裡有初等解法 感謝所有推動我前進的人
你可能會有興趣的文章:
限會員,要發表迴響,請先登入











