用「功過格」修身(4):文衡聖帝功過律
2010/08/13 13:06
瀏覽2,030
迴響0
推薦4
引用0

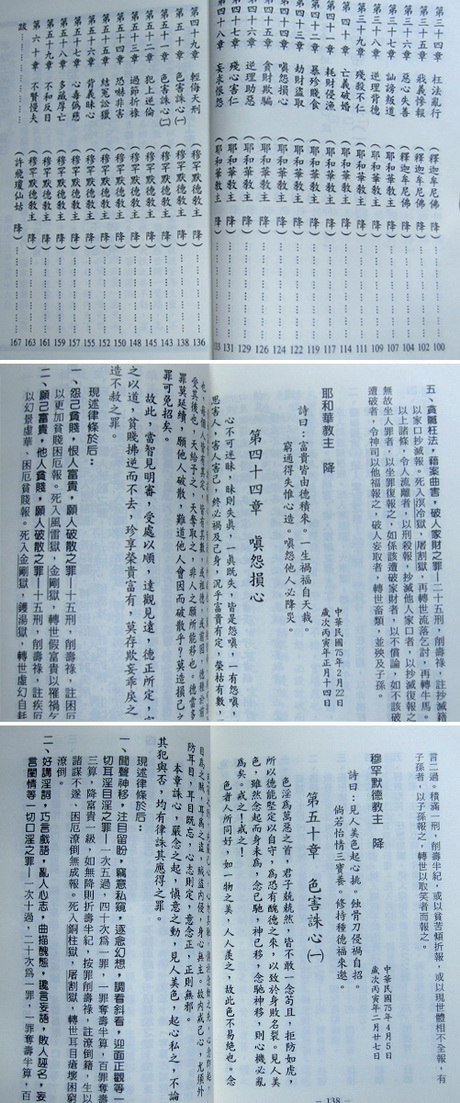
《文衡聖帝功過律》是一本很特別的功過書。是「五教教主奉旨著作」。五教是儒釋道耶回,也就是在本書中可以看到至聖先師、元始天尊、釋迦牟尼、耶和華、穆罕默德五位教主。
本書共分六十章。一至十九章為善功,二十章以後為惡之罰則。
茲列數條為例:
※棄法受賄,屈死善良之罪│二十五刑,削其貴祿,註貧耗籍,挫敗死亡報。死入鑊湯獄,再轉普掠獄,轉世牛羊。
※縱火焚燒,殘殺生靈之罪│二十刑,削壽祿,註惡症籍,生以家破惡症,五體不全,孤苦無依報。死入風雷獄,再入火翳獄,轉世瘋狂惡病殘身困厄。
※貪色奪娶,破人婚姻之罪│十五刑(貪財另嫁者同罪),削壽祿,註刑禍籍,以刑禍傾折,家破身亡報。死入鑊湯獄,銅柱獄,轉世奇窮孤寡。
※久借不還,陰思欺騙,貪人錢財,欲人身死之罪│十五刑,削壽祿,註刑禍籍,生以刑禍傾折報。死入屠割獄,火車獄,轉世耕牛、駝馬。
※心念手動,手做非禮,藉機挨身,巧誘戲弄,摟抱調戲,手做非禮等一切手淫之罪│按其輕重分三級,三等一次五過,二等一次十五過,一等一次五十過(奪算如前二條),按罪削壽祿,註短折籍,生以刑禍短折潦倒困厄報。死入銅柱獄,屠割獄,轉世手足攣縮,行動不便,曲拳斷指,惡瘡臭手,半身不遂等。
本書在網路上有全文,歡迎自己修身或推薦給旁人。
【延伸閱讀】
用「功過格」修身(1):文昌帝君功過格
用「功過格」修身(2):台北縣道教會版
用「功過格」修身(3):《了凡四訓》之雲谷禪師功過格
用「功過格」修身(4):文衡聖帝功過律


自訂分類:YoYoman自己寫的
你可能會有興趣的文章:
限會員,要發表迴響,請先登入













