馬克士威方程組建立在三維歐幾米得空間中純量場與向量場的觀念上。內涵的物理觀念建立在數學觀念之上。要理解馬克士威方程組所涵有的物理意義必須先理解數學意義。這就得理解梯度、散度、與旋度。
數學分成原理與算法兩相關卻不同的面向。理解數學得理解原理;計算得學會算法。算法自然應該是由原理推導而來。很糟糕的是數學經常沒有將推導過程說明清楚。更糟糕的是為了遷就算法將原理依算法調整而使得原本的意義變得隱晦。梯度、散度、與旋度就是在這種作法下變得很難理解。下面將它們意義一一解析。
首先討論梯度(gradient)。在三維歐幾米得空間中有一個可微分的純量場。每一個空間點的梯度是一個向量,方向是該點純量增加率最大的方向,數值是最大增加率。所有點的梯度形成一個向量場。

以較嚴謹方式來定義。對於任何一個空間點,以該點為球心半徑r建立一個球形。選取球面上純量值減去球心純量值最大的點。從球心到該點形成一個向量。向量的值是球面點純量值減去球心純量值再除以r。再將r縮小。當r趨近於0,向量就是球心的梯度。這樣的定義可以保證符合本意,而且與座標系無關。
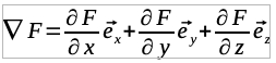
現在一般採用的定義卻是建立在座標系上。在三維空間建立一個笛卡兒座標系。純量場是一個以座標表示的函數F(x,y,z)。在空間任何一點由函數在該點分別對x,y,z偏微分。偏微分的結果當作各自方向上的分量。三個分量合成的向量是該點的梯度。

這樣的定義方便計算,但是完全看不出原本梯度的意義,而且看起來與座標系相關。還需要證明變換座標系不會改變任何一點的梯度。
散度(divergence)與旋度(curl)也有同樣的現象。在一般數學書中通常將散度與旋度分別獨自解說。好似兩者是各自獨立的觀念。其實兩者密切相關。

在三維歐幾米得空間中有一個可微分的向量場F。對於任何一個空間點,以該點為球心半徑r建立一個球形。球面上每一點都有一個切面及一個垂直與切面的法線方向。在這一點的向量可以分成一個法線分量與一個切面分量。法線分量用於散度,切面分量用於旋度。
先解釋散度。指向球外的法線分量為正值,指向球內的法線分量為負值。分量的數值是通過這一點的通量(flux)。將球面所有點的通量相加是球面的通量。將通量除以球體積,並將r縮小。當r趨近於0,就成為球心這一點的散度。

散度代表的是向量場在空間點對周圍空間發散的變化率。一個點周圍的向量影響散度有方向與強度兩個維度。周圍的向量指向點聚集,散度是負值。越聚集,散度越負。反過來,周圍的向量指離點發散,散度是正值。越發散,散度越正。這是方向的影響。強度的影響是,周圍的指向點的向量越強,散度越負。由周圍指離點的向量越強,散度越正。散度為正值向量向外發散。散度為負值向量向內聚集。散度絕對值越大,發散或聚集相對於空間的變化越大。這才是散度的本意。


這個定義可以從散度定理(divergence theorem)推出:

定理的意義是一個封閉的曲面上的通量等於曲面包圍的空間中所有點的散度總和。如果將曲面為球面,再將半徑趨近於0,就是散度定義。
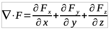
現在一般採用的定義也是建立在座標系上。在三維空間建立一個笛卡兒座標系。向量場是一個以座標表示的函數向量

在空間任何一點的散度是函數向量在該點x,y,z各自的分函數偏微分的和。

這樣的定義方便計算,但是完全看不出原本散度的意義。
球面的每一個點在切面也有一個分量。切面分量與法線分量互相垂直。切面分量看起來好像在推動球面旋轉。單位法向量向切面分量的叉積(cross product) 是這一點的旋量,代表這一點對球的旋轉量。將球面所有旋量相加就是球面的旋量。將球面的旋量除以球體積,並將r縮小。當r趨近於0,就成為球心這一點的旋度。

為什麼不能直接用切面分量相加而需要叉積產生的旋量相加呢?這是因為旋向是由法線方向與切面分量共同決定。只用切面分量無法決定旋向。旋量的旋向是由沿著旋量的逆時針方向。因此旋量可以單獨決定旋向。
旋度代表的是向量場在空間點對周圍空間旋轉的變化率。一個點周圍的向量影響旋度有方向與強度兩個維度。周圍的向量偏轉的方向是順時針,旋度是逆向。越偏轉,旋度逆向越強。反過來,周圍的向量偏轉的方向是逆時針,旋度是正向。越偏轉,旋度正向越強。這是方向的影響。向量強度的影響是,周圍的向量順時針方向越強,逆時針方向越弱,旋度越逆。反之,逆時針方向越強,順時針方向越弱,旋度越正。逆時針旋轉,旋度指向上方。順時針旋轉,旋度指向下方。旋度絕對值越大,對於空間的旋轉的幅度越大。這才是旋度的本意。


這個定義可以從在一般數學書中通常沒有提到的旋度定理推出:

定理的意義是一個封閉的曲面上的旋量等於曲面包圍的空間中所有點的旋度總和。如果將曲面為球面,再將半徑趨近於0,就是旋度的定義。
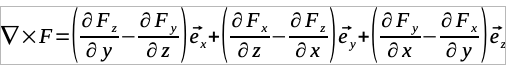
現在一般採用的定義也是建立在座標系上。在三維空間建立一個笛卡兒座標系。向量場是一個以座標表示的函數向量

在空間任何一點的旋度函數向量在該點x,y,z各自的分函數偏微分交叉相減。

這樣的定義方便計算,但是完全看不出原本旋度的本意。
在場的觀念裡,無論任何點的梯度、散度、或旋度都是由周圍的場變化所形成。符合本意的定義都用到球面所有的點。為什麼以算法為主的定義卻可以只用到笛卡兒座標系的三根軸上的場呢?原因在與梯度、散度、或旋度的定義與座標系無關,所以任何座標系都可以用。而向量可以分解成垂直的三個分量,而三個分量完全包含了所有向量的資訊,因此三根軸的資訊已經足夠。
進一步可以推測,與純量、向量場、梯度、散度、或旋度類似,無論什麼座標系都不變的量,都應該有與座標系無關,並且能彰顯本意的定義。
從梯度、散度、與旋度可以推導出:


以及其他一連串的定理。
限會員,要發表迴響,請先登入

