通往真理的第一步
2013/03/21 21:19
瀏覽394
迴響0
推薦7
引用0

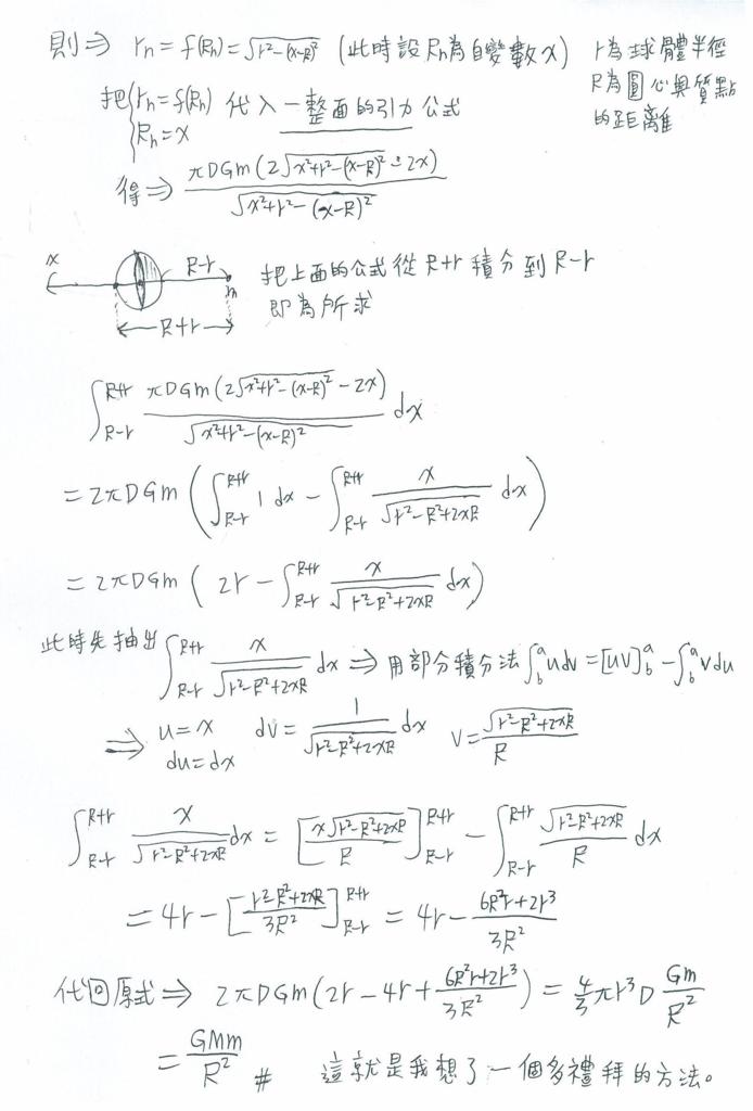
最近終於快把那本微積分給看完了,不過我已經有1個多禮拜沒有看它了,因為我正再想一題難題,這個題目是考驗我有沒有學好微積分和有沒有資格踏上真理這條道路的本事。
這個題目是牛頓當初在提出行星間的引力計算時證明過的一個重要式子,那就是
GMm/(R的平方)
,有些人可能會疑惑,這需要證明嗎?我一開始也不知道這需要證明,這是我在儒林補習班上課時聽到啟原老師說的,記得他那時說:【這條式子是質點間的引力,能用這條式子去算星球間的引力,是因為牛頓當初用積分將球體分成無數個質點,而所有質點的引力的向量積剛好等於把所有質量集中在中心點去計算出來的引力!】
這幾天突然想到這個問題,於是就開始著手進行了,剛開始第一次計算時沒有考慮到方向,直接把它當成純量去積分,結果出來的值果然不如預期,第二次積分出來的值也是錯的,當時我有點失望,因為這是我花了好久的時間才構思出來的方法,於是我重新調整心態,我心想,如果沒有甚麼地方計算錯誤或者不合理,那我積分出來的式子就是真理不論是否跟牛頓一樣,就算不一樣也是牛頓錯
,然後我就用原來想出來的方法再仔細去計算一次,發現中間的式子跟之前的不一樣,原來之前是我計算錯誤,就在今天晚上,我終於把歷時1個多禮拜的問題完美的解決了。
積分出來後我發現牛頓是對的XD
各位可能不能想像,當我算出來時我的眼淚都快掉下來了,實在是非常的快樂阿!!!
以下是內容,有興趣各位可以一起討論
你可能會有興趣的文章:








