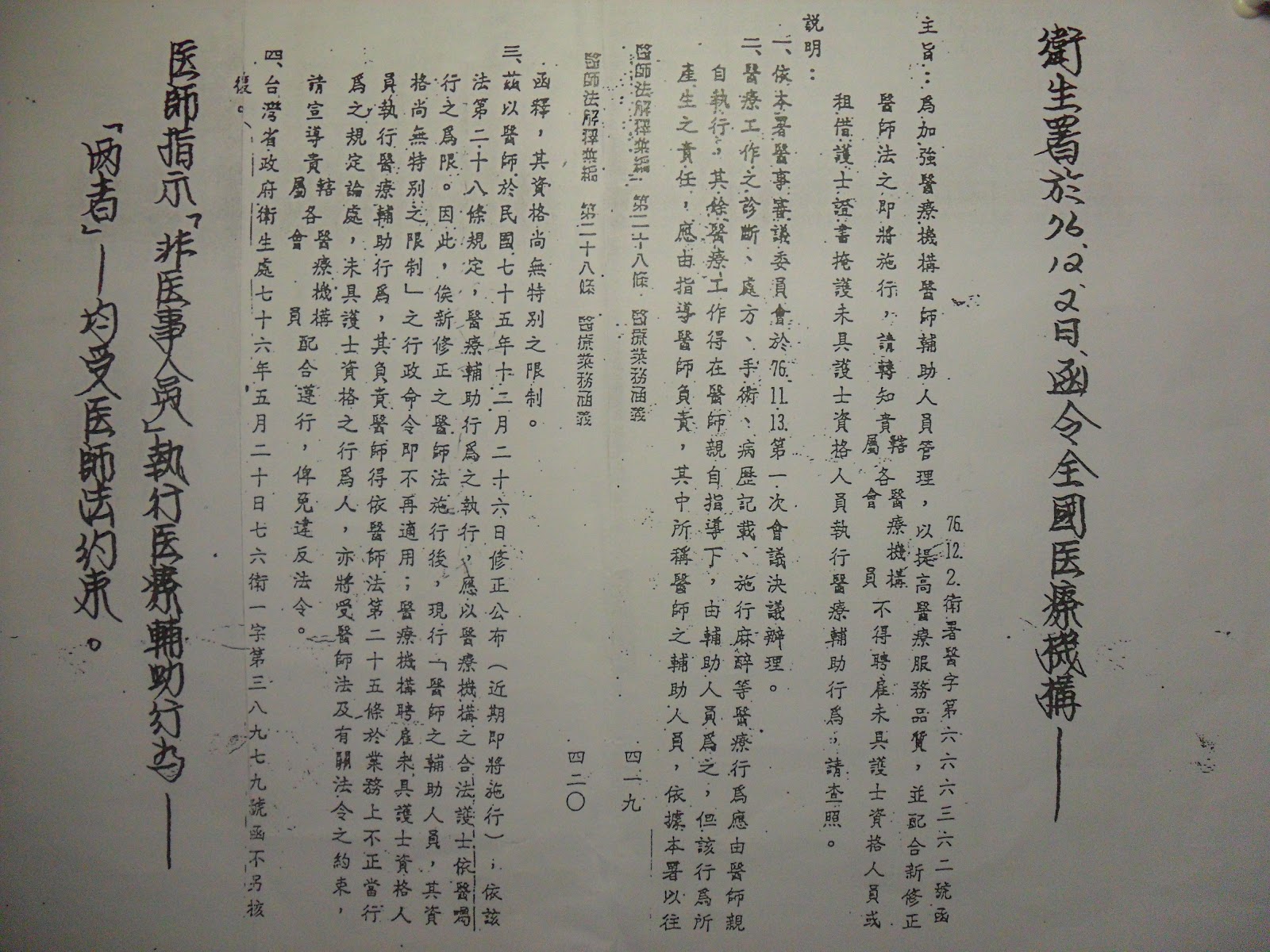
為全國同胞證明民進黨▅▅▅▅有沒有騙倒閣下?
長髮人法律論壇網址:http://www.yibin.com.tw/lhman/
longhairman google 相片網址:
https://get.google.com/albumarchive/101300900716339848140?source=pwa
不巧的、有陳水扁政府擅自執行違法特赦作為▃▃請蔡英文總統親口說:罪證確鑿的「張博雅偽造文書」,檢察官是可以「違背法令予不起訴」! nt.aspx?n=124&sms=8912&s=3723
https://photos.google.com/share/AF1QipPAN72l61AHWi4vARotZPZTaLyzJbH37__Uu5EgvSPRuergwOcqllbRnfPi0UX6-Q?key=Y1N4R3dFUF9RNzl2aXdwY0FubWRpWUJsWGdDUTdn
官員有權無責台灣社會特權天下▃▃貧苦百姓▃▃只有任特權予取予求的宰割了▃▃民進黨政權的法院▃▃是台灣同胞的絕命之處
https://photos.google.com/share/AF1QipP_wP3CcWvufADKTZ3pr5cp9xHeN4YHjvu5iynnibPGRGh9mnqq9ZBOQetrO0AILg?key=TDBnQjJxNnBLSXoxVWZCWTlvaWpRSFV3SE5qUGVB
監察院抓到國民黨司法官員集體違法提出糾正文民進黨陳水扁的法務部長陳定南沒有提出任何駁回糾正事項理由就枉法駁回周鳳山ˇ國賠聲請。 陳定南拒絕【國賠】
(蔡總統專機集體結夥私菸案於是發生了)https://www.cy.gov.tw/News_Content.aspx?n=124&sms=8912&s=3723
不巧、有陳水扁政府擅自執行違法特赦作為▃▃請蔡英文總統親口說:罪證確鑿的「張博雅偽造文書」,檢察官是可以「違背法令予不起訴」! nt.aspx?n=124&sms=8912&s=3723
https://photos.google.com/share/AF1QipPAN72l61AHWi4vARotZPZTaLyzJbH37__Uu5EgvSPRuergwOcqllbRnfPi0UX6-Q?key=Y1N4R3dFUF9RNzl2aXdwY0FubWRpWUJsWGdDUTdn
官員有權無責台灣社會特權天下▃▃貧苦百姓▃▃只有任特權予取予求的宰割了▃▃民進黨政權的法院▃▃是台灣同胞的https://www.cy.gov.tw/News_Content.aspx?n=124&sms=8912&s=3723絕命之處
https://photos.google.com/share/AF1QipP_wP3CcWvufADKTZ3pr5cp9xHeN4YHjvu5iynnibPGRGh9mnqq9ZBOQetrO0AILg?key=TDBnQjJxNnBLSXoxVWZCWTlvaWpRSFV3SE5qUGVB
台灣的行政機關有個層層上級依法監督下屬有否
依法行政也有責任將違法下屬移送司法機關查辦
查辦違法行政致死國家和個人遭受之損失執行公平、正義
民進黨蔡英文政府公權力▅▅▅要製作冤案更要把被冤民給冤死進棺材的方式解決冤命案
甚至還故意凌遲出依一條人命來註;蔡政府未依法查辦違法行為相反的倒過來反倒壓迫到受冤者周鳳山因長期失眠、長期失眠、長期失眠、引起腦血管堵塞造成疾病中風
很不巧的,遭受陳水扁政府法務部長陳鼎南▅▅不僅未執行民進黨以人權為主體的宗旨和國民黨一故意【糟蹋人民法律保障ˇ的人權】民進黨陳水扁的法務部長陳定南沒有提出任何駁回糾正事項理由就枉法駁回周鳳山ˇ國賠聲請。監察院抓到國民黨司法官員集體違法提出糾正文民進黨陳水扁的法務部長陳定南沒有提出任何駁回糾正事項理由就枉法駁回周鳳山ˇ國賠聲請。 陳定南拒絕【國賠】
https://www.cy.gov.tw/News_Content.aspx?n=124&sms=8912&s=3723
不巧、有陳水扁政府擅自執行違法特赦作為▃▃請蔡英文總統親口說:罪證確鑿的「張博雅偽造文書」,檢察官是可以「違背法令予不起訴」! nt.aspx?n=124&sms=8912&s=3723
https://photos.google.com/share/AF1QipPAN72l61AHWi4vARotZPZTaLyzJbH37__Uu5EgvSPRuergwOcqllbRnfPi0UX6-Q?key=Y1N4R3dFUF9RNzl2aXdwY0FubWRpWUJsWGdDUTdn
官員有權無責台灣社會特權天下▃▃貧苦百姓▃▃只有任特權予取予求的宰割了▃▃民進黨政權的法院▃▃是台灣同胞的https://www.cy.gov.tw/News_Content.aspx?n=124&sms=8912&s=3723絕命之處
https://photos.google.com/share/AF1QipP_wP3CcWvufADKTZ3pr5cp9xHeN4YHjvu5iynnibPGRGh9mnqq9ZBOQetrO0AILg?key=TDBnQjJxNnBLSXoxVWZCWTlvaWpRSFV3SE5qUGVB
台灣的行政機關有個層層上級依法監督下屬有否
依法行政也有責任將違法下屬移送司法機關查辦
查辦違法行政致死國家和個人遭受之損失執行公平、正義
民進黨蔡英文政府公權力▅▅▅要製作冤案更要把被冤民給冤死進棺材的方式解決冤命案
甚至還故意凌遲出依一條人命來註;蔡政府未依法查辦違法行為相反的倒過來反倒壓迫到受冤者周鳳山因長期失眠、長期失眠、長期失眠、引起腦血管堵塞造成疾病中風
很不巧的,遭受陳水扁政府法務部長陳鼎南▅▅不僅未執行民進黨以人權為主體的宗旨和國民黨一故意【糟蹋人民法律保障ˇ的人權】民進黨陳水扁的法務部長陳定南沒有提出任何駁回糾正事項理由就枉法駁回周鳳山ˇ國賠聲請。
監察院抓到國民黨司法官員集體違法提出糾正文民進黨陳水扁的法務部長陳定南沒有提出任何駁回糾正事項理由就枉法駁回周鳳山ˇ國賠聲請。 陳定南拒絕【國賠】
https://www.cy.gov.tw/News_Content.aspx?n=124&sms=8912&s=3723
不巧、有陳水扁政府擅自執行違法特赦作為▃▃請蔡英文總統親口說:罪證確鑿的「張博雅偽造文書」,檢察官是可以「違背法令予不起訴」! nt.aspx?n=124&sms=8912&s=3723
https://photos.google.com/share/AF1QipPAN72l61AHWi4vARotZPZTaLyzJbH37__Uu5EgvSPRuergwOcqllbRnfPi0UX6-Q?key=Y1N4R3dFUF9RNzl2aXdwY0FubWRpWUJsWGdDUTdn
官員有權無責台灣社會特權天下▃▃貧苦百姓▃▃只有任特權予取予求的宰割了▃▃民進黨政權的法院▃▃是台灣同胞的https://www.cy.gov.tw/News_Content.aspx?n=124&sms=8912&s=3723絕命之處
https://photos.google.com/share/AF1QipP_wP3CcWvufADKTZ3pr5cp9xHeN4YHjvu5iynnibPGRGh9mnqq9ZBOQetrO0AILg?key=TDBnQjJxNnBLSXoxVWZCWTlvaWpRSFV3SE5qUGVB
依法行政也有責任將違法下屬移送司法機關查辦
查辦違法行政致死國家和個人遭受之損失執行公平、正義
民進黨蔡英文政府公權力▅▅▅要製作冤案更要把被冤民給冤死進棺材的方式解決冤命案
甚至還故意凌遲出依一條人命來註;蔡政府未依法查辦違法行為相反的倒過來反倒壓迫到受冤者周鳳山因長期失眠、長期失眠、長期失眠、引起腦血管堵塞造成疾病中風
很不巧的,遭受陳水扁政府法務部長陳鼎南▅▅不僅未執行民進黨以人權為主體的宗旨和國民黨一故意【糟蹋人民法律保障ˇ的人權】民進黨陳水扁的法務部長陳定南沒有提出任何駁回糾正事項理由就枉法駁回周鳳山ˇ國賠聲請。
不巧、有陳水扁政府擅自執行違法特赦作為▃▃請蔡英文總統親口說:罪證確鑿的「張博雅偽造文書」,檢察官是可以「違背法令予不起訴」! nt.aspx?n=124&sms=8912&s=3723
https://photos.google.com/share/AF1QipPAN72l61AHWi4vARotZPZTaLyzJbH37__Uu5EgvSPRuergwOcqllbRnfPi0UX6-Q?key=Y1N4R3dFUF9RNzl2aXdwY0FubWRpWUJsWGdDUTdn
官員有權無責台灣社會特權天下▃▃貧苦百姓▃▃只有任特權予取予求的宰割了▃▃民進黨政權的法院▃▃是台灣同胞的https://www.cy.gov.tw/News_Content.aspx?n=124&sms=8912&s=3723絕命之處
https://photos.google.com/share/AF1QipP_wP3CcWvufADKTZ3pr5cp9xHeN4YHjvu5iynnibPGRGh9mnqq9ZBOQetrO0AILg?key=TDBnQjJxNnBLSXoxVWZCWTlvaWpRSFV3SE5qUGVB
依法行政也有責任將違法下屬移送司法機關查辦
查辦違法行政致死國家和個人遭受之損失執行公平、正義
民進黨蔡英文政府公權力▅▅▅要製作冤案更要把被冤民給冤死進棺材的方式解決冤命案
甚至還故意凌遲出依一條人命來註;蔡政府未依法查辦違法行為相反的倒過來反倒壓迫到受冤者周鳳山因長期失眠、長期失眠、長期失眠、引起腦血管堵塞造成疾病中風
很不巧的,遭受陳水扁政府法務部長陳鼎南▅▅不僅未執行民進黨以人權為主體的宗旨和國民黨一故意【糟蹋人民法律保障ˇ的人權】民進黨陳水扁的法務部長陳定南沒有提出任何駁回糾正事項理由就枉法駁回周鳳山ˇ國賠聲請。
監察院抓到國民黨司法官員集體違法提出糾正文民進黨陳水扁的法務部長陳定南沒有提出任何駁回糾正事項理由就枉法駁回周鳳山ˇ國賠聲請。 陳定南拒絕【國賠】
https://www.cy.gov.tw/News_Content.aspx?n=124&sms=8912&s=3723
不巧、有陳水扁政府擅自執行違法特赦作為▃▃請蔡英文總統親口說:罪證確鑿的「張博雅偽造文書」,檢察官是可以「違背法令予不起訴」! nt.aspx?n=124&sms=8912&s=3723
https://photos.google.com/share/AF1QipPAN72l61AHWi4vARotZPZTaLyzJbH37__Uu5EgvSPRuergwOcqllbRnfPi0UX6-Q?key=Y1N4R3dFUF9RNzl2aXdwY0FubWRpWUJsWGdDUTdn
官員有權無責台灣社會特權天下▃▃貧苦百姓▃▃只有任特權予取予求的宰割了▃▃民進黨政權的法院▃▃是台灣同胞的https://www.cy.gov.tw/News_Content.aspx?n=124&sms=8912&s=3723絕命之處
https://photos.google.com/share/AF1QipP_wP3CcWvufADKTZ3pr5cp9xHeN4YHjvu5iynnibPGRGh9mnqq9ZBOQetrO0AILg?key=TDBnQjJxNnBLSXoxVWZCWTlvaWpRSFV3SE5qUGVB
----------------------
依法行政也有責任將違法下屬移送司法機關查辦
查辦違法行政致死國家和個人遭受之損失執行公平、正義
民進黨蔡英文政府公權力▅▅▅要製作冤案更要把被冤民給冤死進棺材的方式解決冤命案
甚至還故意凌遲出依一條人命來註;蔡政府未依法查辦違法行為相反的倒過來反倒壓迫到受冤者周鳳山因長期失眠、長期失眠、長期失眠、引起腦血管堵塞造成疾病中風
很不巧的,遭受陳水扁政府法務部長陳鼎南▅▅不僅未執行民進黨以人權為主體的宗旨和國民黨一故意【糟蹋人民法律保障ˇ的人權】民進黨陳水扁的法務部長陳定南沒有提出任何駁回糾正事項理由就枉法駁回周鳳山ˇ國賠聲請。台灣的行政機關有個層層上級依法監督下屬有否
依法行政也有責任將違法下屬移送司法機關查辦
查辦違法行政致死國家和個人遭受之損失執行公平、正義
民進黨蔡英文政府公權力▅▅▅要製作冤案更要把被冤民給冤死進棺材的方式解決冤命案
甚至還故意凌遲出依一條人命來註;蔡政府未依法查辦違法行為相反的倒過來反倒壓迫到受冤者周鳳山因長期失眠、長期失眠、長期失眠、引起腦血管堵塞造成疾病中風
很不巧的,遭受陳水扁政府法務部長陳鼎南▅▅不僅未執行民進黨以人權為主體的宗旨和國民黨一故意【糟蹋人民法律保障ˇ的人權】民進黨陳水扁的法務部長陳定南沒有提出任何駁回糾正事項理由就枉法駁回周鳳山ˇ國賠聲請。
不巧、有陳水扁政府擅自執行違法特赦作為▃▃請蔡英文總統親口說:罪證確鑿的「張博雅偽造文書」,檢察官是可以「違背法令予不起訴」! nt.aspx?n=124&sms=8912&s=3723
https://photos.google.com/share/AF1QipPAN72l61AHWi4vARotZPZTaLyzJbH37__Uu5EgvSPRuergwOcqllbRnfPi0UX6-Q?key=Y1N4R3dFUF9RNzl2aXdwY0FubWRpWUJsWGdDUTdn
官員有權無責台灣社會特權天下▃▃貧苦百姓▃▃只有任特權予取予求的宰割了▃▃民進黨政權的法院▃▃是台灣同胞的https://www.cy.gov.tw/News_Content.aspx?n=124&sms=8912&s=3723絕命之處
https://photos.google.com/share/AF1QipP_wP3CcWvufADKTZ3pr5cp9xHeN4YHjvu5iynnibPGRGh9mnqq9ZBOQetrO0AILg?key=TDBnQjJxNnBLSXoxVWZCWTlvaWpRSFV3SE5qUGVB
(蔡總統專機集體結夥私菸案於是發生了)
依法行政也有責任將違法下屬移送司法機關查辦
查辦違法行政致死國家和個人遭受之損失執行公平、正義
民進黨蔡英文政府公權力▅▅▅要製作冤案更要把被冤民給冤死進棺材的方式解決冤命案
甚至還故意凌遲出依一條人命來註;蔡政府未依法查辦違法行為相反的倒過來反倒壓迫到受冤者周鳳山因長期失眠、長期失眠、長期失眠、引起腦血管堵塞造成疾病中風
很不巧的,遭受陳水扁政府法務部長陳鼎南▅▅不僅未執行民進黨以人權為主體的宗旨和國民黨一故意【糟蹋人民法律保障ˇ的人權】民進黨陳水扁的法務部長陳定南沒有提出任何駁回糾正事項理由就枉法駁回周鳳山ˇ國賠聲請。(蔡總統專機集體結夥私菸案於是發生了)
監察院抓到國民黨司法官員集體違法提出糾正文民進黨陳水扁的法務部長陳定南沒有提出任何駁回糾正事項理由就枉法駁回周鳳山ˇ國賠聲請。 陳定南拒絕【國賠】
https://www.cy.gov.tw/News_Content.aspx?n=124&sms=8912&s=3723(蔡總統專機集體結夥私菸案於是發生了)
不巧、有陳水扁政府擅自執行違法特赦作為▃▃請蔡英文總統親口說:罪證確鑿的「張博雅偽造文書」,檢察官是可以「違背法令予不起訴」! nt.aspx?n=124&sms=8912&s=3723
https://photos.google.com/share/AF1QipPAN72l61AHWi4vARotZPZTaLyzJbH37__Uu5EgvSPRuergwOcqllbRnfPi0UX6-Q?key=Y1N4R3dFUF9RNzl2aXdwY0FubWRpWUJsWGdDUTdn
官員有權無責台灣社會特權天下▃▃貧苦百姓▃▃只有任特權予取予求的宰割了▃▃民進黨政權的法院▃▃是台灣同胞的https://www.cy.gov.tw/News_Content.aspx?n=124&sms=8912&s=3723絕命之處
https://photos.google.com/share/AF1QipP_wP3CcWvufADKTZ3pr5cp9xHeN4YHjvu5iynnibPGRGh9mnqq9ZBOQetrO0AILg?key=TDBnQjJxNnBLSXoxVWZCWTlvaWpRSFV3SE5qUGVB
((蔡總統專機集體結夥私菸案於是發生了)
依法行政也有責任將違法下屬移送司法機關查辦
查辦違法行政致死國家和個人遭受之損失執行公平、正義
民進黨蔡英文政府公權力▅▅▅要製作冤案更要把被冤民給冤死進棺材的方式解決冤命案
甚至還故意凌遲出依一條人命來註;蔡政府未依法查辦違法行為相反的倒過來反倒壓迫到受冤者周鳳山因長期失眠、長期失眠、長期失眠、引起腦血管堵塞造成疾病中風
很不巧的,遭受陳水扁政府法務部長陳鼎南▅▅不僅未執行民進黨以人權為主體的宗旨和國民黨一故意【糟蹋人民法律保障ˇ的人權】民進黨陳水扁的法務部長陳定南沒有提出任何駁回糾正事項理由就枉法駁回周鳳山ˇ國賠聲請。
監察院抓到國民黨司法官員集體違法提出糾正文民進黨陳水扁的法務部長陳定南沒有提出任何駁回糾正事項理由就枉法駁回周鳳山ˇ國賠聲請。 陳定南拒絕【國賠】
https://www.cy.gov.tw/News_Content.aspx?n=124&sms=8912&s=3723(蔡總統專機集體結夥私菸案於是發生了)
不巧、有陳水扁政府擅自執行違法特赦作為▃▃請蔡英文總統親口說:罪證確鑿的「張博雅偽造文書」,檢察官是可以「違背法令予不起訴」! nt.aspx?n=124&sms=8912&s=3723
https://photos.google.com/share/AF1QipPAN72l61AHWi4vARotZPZTaLyzJbH37__Uu5EgvSPRuergwOcqllbRnfPi0UX6-Q?key=Y1N4R3dFUF9RNzl2aXdwY0FubWRpWUJsWGdDUTdn
官員有權無責台灣社會特權天下▃▃貧苦百姓▃▃只有任特權予取予求的宰割了▃▃民進黨政權的法院▃▃是台灣同胞的https://www.cy.gov.tw/News_Content.aspx?n=124&sms=8912&s=3723絕命之處
https://photos.google.com/share/AF1QipP_wP3CcWvufADKTZ3pr5cp9xHeN4YHjvu5iynnibPGRGh9mnqq9ZBOQetrO0AILg?key=TDBnQjJxNnBLSXoxVWZCWTlvaWpRSFV3SE5qUGVB
(蔡總統專機集體結夥私菸案於是發生了)
https://photos.google.com/share/AF1QipPAN72l61AHWi4vARotZPZTaLyzJbH37__Uu5EgvSPRuergwOcqllbRnfPi0UX6-Q?key=Y1N4R3dFUF9RNzl2aXdwY0FubWRpWUJsWGdDUTdn
官員有權無責台灣社會特權天下▃▃貧苦百姓▃▃只有任特權予取予求的宰割了▃▃民進黨政權的法院▃▃是台灣同胞的https://www.cy.gov.tw/News_Content.aspx?n=124&sms=8912&s=3723絕命之處
https://photos.google.com/share/AF1QipP_wP3CcWvufADKTZ3pr5cp9xHeN4YHjvu5iynnibPGRGh9mnqq9ZBOQetrO0AILg?key=TDBnQjJxNnBLSXoxVWZCWTlvaWpRSFV3SE5qUGVB
(蔡總統專機集體結夥私菸案於是發生了)
台灣的行政機關有個層層上級依法監督下屬有否
依法行政也有責任將違法下屬移送司法機關查辦
查辦違法行政致死國家和個人遭受之損失執行公平、正義
民進黨蔡英文政府公權力
監察院抓到國民黨司法官員集體違法提出糾正文民進黨陳水扁的法務部長陳定南沒有提出任何駁回糾正事項理由就枉法駁回周鳳山ˇ國賠聲請。 陳定南拒絕【國賠】
https://www.cy.gov.tw/News_Content.aspx?n=124&sms=8912&s=3723(蔡總統專機集體結夥私菸案於是發生了)
不巧、有陳水扁政府擅自執行違法特赦作為▃▃請蔡英文總統親口說:罪證確鑿的「張博雅偽造文書」,檢察官是可以「違背法令予不起訴」! nt.aspx?n=124&sms=8912&s=3723
https://photos.google.com/share/AF1QipPAN72l61AHWi4vARotZPZTaLyzJbH37__Uu5EgvSPRuergwOcqllbRnfPi0UX6-Q?key=Y1N4R3dFUF9RNzl2aXdwY0FubWRpWUJsWGdDUTdn
官員有權無責台灣社會特權天下▃▃貧苦百姓▃▃只有任特權予取予求的宰割了▃▃民進黨政權的法院▃▃是台灣同胞的https://www.cy.gov.tw/News_Content.aspx?n=124&sms=8912&s=3723絕命之處
https://photos.google.com/share/AF1QipP_wP3CcWvufADKTZ3pr5cp9xHeN4YHjvu5iynnibPGRGh9mnqq9ZBOQetrO0AILg?key=TDBnQjJxNnBLSXoxVWZCWTlvaWpRSFV3SE5qUGVB
(蔡總統專機集體結夥私菸案於是發生了)
當二審判決定讞的同時才生的出賠與不賠的基本;
這樣的邏輯判決定讞的同時生不出逾時的狀態司法院看不懂
國民黨政權執法下的法官ˍˍ可以用「自由心證」推翻【刑事訴訟法第五OO條】?
這樣的案件刑事案件附帶民事賠償
這樣的刑事案件怎麼生的出求償怎麼生的出求償逾時
不巧、有陳水扁政府擅自執行違法特赦作為▃▃請蔡英文總統親口說:罪證確鑿的「張博雅偽造文書」,檢察官是可以「違背法令予不起訴」! nt.aspx?n=124&sms=8912&s=3723
https://photos.google.com/share/AF1QipPAN72l61AHWi4vARotZPZTaLyzJbH37__Uu5EgvSPRuergwOcqllbRnfPi0UX6-Q?key=Y1N4R3dFUF9RNzl2aXdwY0FubWRpWUJsWGdDUTdn
官員有權無責台灣社會特權天下▃▃貧苦百姓▃▃只有任特權予取予求的宰割了▃▃民進黨政權的法院▃▃是台灣同胞的https://www.cy.gov.tw/News_Content.aspx?n=124&sms=8912&s=3723絕命之處
https://photos.google.com/share/AF1QipP_wP3CcWvufADKTZ3pr5cp9xHeN4YHjvu5iynnibPGRGh9mnqq9ZBOQetrO0AILg?key=TDBnQjJxNnBLSXoxVWZCWTlvaWpRSFV3SE5qUGVB
(蔡總統專機集體結夥私菸案於是發生了)
這樣的邏輯判決定讞的同時生不出逾時的狀態司法院看不懂
國民黨政權執法下的法官ˍˍ可以用「自由心證」推翻【刑事訴訟法第五OO條】?
這樣的案件刑事案件附帶民事賠償這樣的刑事案件怎麼生的出求償怎麼生的出求償逾時
監察院抓到國民黨司法官員集體違法提出糾正文民進黨陳水扁的法務部長陳定南沒有提出任何駁回糾正事項理由就枉法駁回周鳳山ˇ國賠聲請。 陳定南拒絕【國賠】(蔡總統專機集體結夥私菸案於是發生了)
https://www.cy.gov.tw/News_Content.aspx?n=124&sms=8912&s=3723(蔡總統專機集體結夥私菸案於是發生了)
不巧、有陳水扁政府擅自執行違法特赦作為▃▃請蔡英文總統親口說:罪證確鑿的「張博雅偽造文書」,檢察官是可以「違背法令予不起訴」! nt.aspx?n=124&sms=8912&s=3723
https://photos.google.com/share/AF1QipPAN72l61AHWi4vARotZPZTaLyzJbH37__Uu5EgvSPRuergwOcqllbRnfPi0UX6-Q?key=Y1N4R3dFUF9RNzl2aXdwY0FubWRpWUJsWGdDUTdn
官員有權無責台灣社會特權天下▃▃貧苦百姓▃▃只有任特權予取予求的宰割了▃▃民進黨政權的法院▃▃是台灣同胞的https://www.cy.gov.tw/News_Content.aspx?n=124&sms=8912&s=3723絕命之處
https://photos.google.com/share/AF1QipP_wP3CcWvufADKTZ3pr5cp9xHeN4YHjvu5iynnibPGRGh9mnqq9ZBOQetrO0AILg?key=TDBnQjJxNnBLSXoxVWZCWTlvaWpRSFV3SE5qUGVB
(蔡總統專機集體結夥私菸案於是發生了)
這樣的邏輯判決定讞的同時生不出逾時的狀態司法院看不懂
國民黨政權執法下的法官ˍˍ可以用「自由心證」推翻【刑事訴訟法第五OO條】?
這樣的案件刑事案件附帶民事賠償這樣的刑事案件怎麼生的出求償怎麼生的出求償逾時
不巧、有陳水扁政府擅自執行違法特赦作為▃▃請蔡英文總統親口說:罪證確鑿的「張博雅偽造文書」,檢察官是可以「違背法令予不起訴」! nt.aspx?n=124&sms=8912&s=3723
https://photos.google.com/share/AF1QipPAN72l61AHWi4vARotZPZTaLyzJbH37__Uu5EgvSPRuergwOcqllbRnfPi0UX6-Q?key=Y1N4R3dFUF9RNzl2aXdwY0FubWRpWUJsWGdDUTdn
官員有權無責台灣社會特權天下▃▃貧苦百姓▃▃只有任特權予取予求的宰割了▃▃民進黨政權的法院▃▃是台灣同胞的https://www.cy.gov.tw/News_Content.aspx?n=124&sms=8912&s=3723絕命之處
https://photos.google.com/share/AF1QipP_wP3CcWvufADKTZ3pr5cp9xHeN4YHjvu5iynnibPGRGh9mnqq9ZBOQetrO0AILg?key=TDBnQjJxNnBLSXoxVWZCWTlvaWpRSFV3SE5qUGVB
(蔡總統專機集體結夥私菸案於是發生了)
監察院抓到國民黨司法官員集體違法提出糾正文民進黨陳水扁的法務部長陳定南沒有提出任何駁回糾正事項理由就枉法駁回周鳳山ˇ國賠聲請。 陳定南拒絕【國賠】
https://www.cy.gov.tw/News_Content.aspx?n=124&sms=8912&s=3723(蔡總統專機集體結夥私菸案於是發生了)
不巧、有陳水扁政府擅自執行違法特赦作為▃▃請蔡英文總統親口說:罪證確鑿的「張博雅偽造文書」,檢察官是可以「違背法令予不起訴」! nt.aspx?n=124&sms=8912&s=3723
https://photos.google.com/share/AF1QipPAN72l61AHWi4vARotZPZTaLyzJbH37__Uu5EgvSPRuergwOcqllbRnfPi0UX6-Q?key=Y1N4R3dFUF9RNzl2aXdwY0FubWRpWUJsWGdDUTdn
官員有權無責台灣社會特權天下▃▃貧苦百姓▃▃只有任特權予取予求的宰割了▃▃民進黨政權的法院▃▃是台灣同胞的https://www.cy.gov.tw/News_Content.aspx?n=124&sms=8912&s=3723絕命之處
https://photos.google.com/share/AF1QipP_wP3CcWvufADKTZ3pr5cp9xHeN4YHjvu5iynnibPGRGh9mnqq9ZBOQetrO0AILg?key=TDBnQjJxNnBLSXoxVWZCWTlvaWpRSFV3SE5qUGVB
(蔡總統專機集體結夥私菸案於是發生了)
不巧、有陳水扁政府擅自執行違法特赦作為▃▃請蔡英文總統親口說:罪證確鑿的「張博雅偽造文書」,檢察官是可以「違背法令予不起訴」! nt.aspx?n=124&sms=8912&s=3723
https://photos.google.com/share/AF1QipPAN72l61AHWi4vARotZPZTaLyzJbH37__Uu5EgvSPRuergwOcqllbRnfPi0UX6-Q?key=Y1N4R3dFUF9RNzl2aXdwY0FubWRpWUJsWGdDUTdn
官員有權無責台灣社會特權天下▃▃貧苦百姓▃▃只有任特權予取予求的宰割了▃▃民進黨政權的法院▃▃是台灣同胞的https://www.cy.gov.tw/News_Content.aspx?n=124&sms=8912&s=3723絕命之處
https://photos.google.com/share/AF1QipP_wP3CcWvufADKTZ3pr5cp9xHeN4YHjvu5iynnibPGRGh9mnqq9ZBOQetrO0AILg?key=TDBnQjJxNnBLSXoxVWZCWTlvaWpRSFV3SE5qUGVB
(蔡總統專機集體結夥私菸案於是發生了)
----------------------------------
依照建制中華民國憲法之【歷史沿革】論▃▃
----------------------------------
【有權有責】▃▃▃中華民國政府的官員都必須為其職掌之事務負全責
亦即▃▃▃政府的官員 (公權力) 必定是以保護人民為執行標的
----------------------------------
中華民國之主權▃▃▃屬於國民全體
中華民國憲法明文規範▃▃任何牴觸憲法之法令、命令均無效
亦即▃▃任何悖離【有權有責】精神的法令、命令均屬無效
----------------------------------
在中華民國憲法〔圭臬〕▃▃▃【有權有責】的精神架構下
監察院抓到國民黨司法官員集體違法提出糾正文民進黨陳水扁的法務部長陳定南沒有提出任何駁回糾正事項理由就枉法駁回周鳳山ˇ國賠聲請。 陳定南拒絕【國賠】
不巧、有陳水扁政府擅自執行違法特赦作為▃▃請蔡英文總統親口說:罪證確鑿的「張博雅偽造文書」,檢察官是可以「違背法令予不起訴」! nt.aspx?n=124&sms=8912&s=3723
https://photos.google.com/share/AF1QipPAN72l61AHWi4vARotZPZTaLyzJbH37__Uu5EgvSPRuergwOcqllbRnfPi0UX6-Q?key=Y1N4R3dFUF9RNzl2aXdwY0FubWRpWUJsWGdDUTdn
官員有權無責台灣社會特權天下▃▃貧苦百姓▃▃只有任特權予取予求的宰割了▃▃民進黨政權的法院▃▃是台灣同胞的https://www.cy.gov.tw/News_Content.aspx?n=124&sms=8912&s=3723絕命之處
https://photos.google.com/share/AF1QipP_wP3CcWvufADKTZ3pr5cp9xHeN4YHjvu5iynnibPGRGh9mnqq9ZBOQetrO0AILg?key=TDBnQjJxNnBLSXoxVWZCWTlvaWpRSFV3SE5qUGVB
(蔡總統專機集體結夥私菸案於是發生了)
這樣的邏輯判決定讞的同時生不出逾時的狀態司法院看不懂
國民黨政權執法下的法官ˍˍ可以用「自由心證」推翻【刑事訴訟法第五OO條】?
這樣的案件刑事案件附帶民事賠償這樣的刑事案件怎麼生的出求償怎麼生的出求償逾時
監察院抓到國民黨司法官員集體違法提出糾正文民進黨陳水扁的法務部長陳定南沒有提出任何駁回糾正事項理由就枉法駁回周鳳山ˇ國賠聲請。 陳定南拒絕【國賠】
不巧、有陳水扁政府擅自執行違法特赦作為▃▃請蔡英文總統親口說:罪證確鑿的「張博雅偽造文書」,檢察官是可以「違背法令予不起訴」! nt.aspx?n=124&sms=8912&s=3723
https://photos.google.com/share/AF1QipPAN72l61AHWi4vARotZPZTaLyzJbH37__Uu5EgvSPRuergwOcqllbRnfPi0UX6-Q?key=Y1N4R3dFUF9RNzl2aXdwY0FubWRpWUJsWGdDUTdn
官員有權無責台灣社會特權天下▃▃貧苦百姓▃▃只有任特權予取予求的宰割了▃▃民進黨政權的法院▃▃是台灣同胞的https://www.cy.gov.tw/News_Content.aspx?n=124&sms=8912&s=3723絕命之處
https://photos.google.com/share/AF1QipP_wP3CcWvufADKTZ3pr5cp9xHeN4YHjvu5iynnibPGRGh9mnqq9ZBOQetrO0AILg?key=TDBnQjJxNnBLSXoxVWZCWTlvaWpRSFV3SE5qUGVB
(蔡總統專機集體結夥私菸案於是發生了)
二審定讞的刑事案件附帶民事賠償 這樣的邏輯司法院看不懂當二審判決定讞的同時才生的出賠與不賠的基本;
這樣的邏輯判決定讞的同時生不出逾時的狀態司法院看不懂
國民黨政權執法下的法官ˍˍ可以用「自由心證」推翻【刑事訴訟法第五OO條】?
這樣的案件刑事案件附帶民事賠償這樣的刑事案件怎麼生的出求償怎麼生的出求償逾時
▅▅▅要製作冤案更要把被冤民給冤死進棺材的方式解決冤命案
甚至還故意凌遲出依一條人命來註;蔡政府未依法查辦違法行為相反的倒過來反倒壓迫到受冤者周鳳山因長期失眠、長期失眠、長期失眠、引起腦血管堵塞造成疾病中風
很不巧的,遭受陳水扁政府法務部長陳鼎南▅▅不僅未執行民進黨以人權為主體的宗旨和國民黨一故意【糟蹋人民法律保障ˇ的人權】民進黨陳水扁的法務部長陳定南沒有提出任何駁回糾正事項理由就枉法駁回周鳳山ˇ國賠聲請。(蔡總統專機集體結夥私菸案於是發生了)
監察院抓到國民黨司法官員集體違法提出糾正文民進黨陳水扁的法務部長陳定南沒有提出任何駁回糾正事項理由就枉法駁回周鳳山ˇ國賠聲請。 陳定南拒絕【國賠】
不巧、有陳水扁政府擅自執行違法特赦作為▃▃請蔡英文總統親口說:罪證確鑿的「張博雅偽造文書」,檢察官是可以「違背法令予不起訴」! nt.aspx?n=124&sms=8912&s=3723
https://photos.google.com/share/AF1QipPAN72l61AHWi4vARotZPZTaLyzJbH37__Uu5EgvSPRuergwOcqllbRnfPi0UX6-Q?key=Y1N4R3dFUF9RNzl2aXdwY0FubWRpWUJsWGdDUTdn
官員有權無責台灣社會特權天下▃▃貧苦百姓▃▃只有任特權予取予求的宰割了▃▃民進黨政權的法院▃▃是台灣同胞的https://www.cy.gov.tw/News_Content.aspx?n=124&sms=8912&s=3723絕命之處
https://photos.google.com/share/AF1QipP_wP3CcWvufADKTZ3pr5cp9xHeN4YHjvu5iynnibPGRGh9mnqq9ZBOQetrO0AILg?key=TDBnQjJxNnBLSXoxVWZCWTlvaWpRSFV3SE5qUGVB
(蔡總統專機集體結夥私菸案於是發生了)
https://www.cy.gov.tw/News_Content.aspx?n=124&sms=8912&s=3723
不巧、有陳水扁政府擅自執行違法特赦作為▃▃請蔡英文總統親口說:罪證確鑿的「張博雅偽造文書」,檢察官是可以「違背法令予不起訴」! nt.aspx?n=124&sms=8912&s=3723
https://photos.google.com/share/AF1QipPAN72l61AHWi4vARotZPZTaLyzJbH37__Uu5EgvSPRuergwOcqllbRnfPi0UX6-Q?key=Y1N4R3dFUF9RNzl2aXdwY0FubWRpWUJsWGdDUTdn
官員有權無責台灣社會特權天下▃▃貧苦百姓▃▃只有任特權予取予求的宰割了▃▃民進黨政權的法院▃▃是台灣同胞的https://www.cy.gov.tw/News_Content.aspx?n=124&sms=8912&s=3723絕命之處
https://photos.google.com/share/AF1QipP_wP3CcWvufADKTZ3pr5cp9xHeN4YHjvu5iynnibPGRGh9mnqq9ZBOQetrO0AILg?key=TDBnQjJxNnBLSXoxVWZCWTlvaWpRSFV3SE5qUGVB
林全前行政院長林全、前行政院長賴清德、現任行政院長蘇張貞昌一直都沒有依法處理、查辦公然違法。不回覆
林全前行政院、前行政院長賴清德、現任行政院長蘇張貞昌一直都沒有依法處理、查辦公然違法。不回覆
林全前行政院、前行政院長賴清德、現任行政院長蘇張貞昌一直都沒有依法處理、查辦公然違法。不回覆
都沒有依法查辦行政違法▃▃蘇貞昌失職。不回覆
(蔡總統專機集體結夥私菸案於是發生了)
監察院抓到國民黨司法官員集體違法提出糾正文民進黨陳水扁的法務部長陳定南沒有提出任何駁回糾正事項理由就枉法駁回周鳳山ˇ國賠聲請。 陳定南拒絕【國賠】
不巧、有陳水扁政府擅自執行違法特赦作為▃▃請蔡英文總統親口說:罪證確鑿的「張博雅偽造文書」,檢察官是可以「違背法令予不起訴」! nt.aspx?n=124&sms=8912&s=3723
https://photos.google.com/share/AF1QipPAN72l61AHWi4vARotZPZTaLyzJbH37__Uu5EgvSPRuergwOcqllbRnfPi0UX6-Q?key=Y1N4R3dFUF9RNzl2aXdwY0FubWRpWUJsWGdDUTdn
官員有權無責台灣社會特權天下▃▃貧苦百姓▃▃只有任特權予取予求的宰割了▃▃民進黨政權的法院▃▃是台灣同胞的https://www.cy.gov.tw/News_Content.aspx?n=124&sms=8912&s=3723絕命之處
https://photos.google.com/share/AF1QipP_wP3CcWvufADKTZ3pr5cp9xHeN4YHjvu5iynnibPGRGh9mnqq9ZBOQetrO0AILg?key=TDBnQjJxNnBLSXoxVWZCWTlvaWpRSFV3SE5qUGVB
(蔡總統專機集體結夥私菸案於是發生了)
監察院抓到國民黨司法官員集體違法提出糾正文民進黨陳水扁的法務部長陳定南沒有提出任何駁回糾正事項理由就枉法駁回周鳳山ˇ國賠聲請。 陳定南拒絕【國賠】
不巧、有陳水扁政府擅自執行違法特赦作為▃▃請蔡英文總統親口說:罪證確鑿的「張博雅偽造文書」,檢察官是可以「違背法令予不起訴」! nt.aspx?n=124&sms=8912&s=3723
https://photos.google.com/share/AF1QipPAN72l61AHWi4vARotZPZTaLyzJbH37__Uu5EgvSPRuergwOcqllbRnfPi0UX6-Q?key=Y1N4R3dFUF9RNzl2aXdwY0FubWRpWUJsWGdDUTdn
官員有權無責台灣社會特權天下▃▃貧苦百姓▃▃只有任特權予取予求的宰割了▃▃民進黨政權的法院▃▃是台灣同胞的https://www.cy.gov.tw/News_Content.aspx?n=124&sms=8912&s=3723絕命之處
https://photos.google.com/share/AF1QipP_wP3CcWvufADKTZ3pr5cp9xHeN4YHjvu5iynnibPGRGh9mnqq9ZBOQetrO0AILg?key=TDBnQjJxNnBLSXoxVWZCWTlvaWpRSFV3SE5qUGVB
(蔡總統專機集體結夥私菸案於是發生了)
前總統李登輝回覆函樣本。
依法行政;行政長官也有責任將違法下屬移送司法機關查辦
查辦違法行政違法致死行為▅▅▅▅國家和個人遭受之損失▅執行公平、正義
前總統李登輝所製作的良善的社會結構。
從民國79年女兒周昭瑞發生〔醫療誤診致死、教唆違反醫師法、遺棄致死、教唆偽證〕
的命案;官司到2015年<25年>仍然沒完沒了。
前總統李登輝
台灣的行政機關有個層層上級依法監督下屬有否
依法行政也有將違法下屬移送司法機關查辦
查辦違法行政致死國家和個人遭受之損失▅▅執行公平、正義
民進黨蔡英文政府公權力▅▅▅
監察院抓到國民黨司法官員集體違法提出糾正文民進黨陳水扁的法務部長陳定南沒有提出任何駁回糾正事項理由就枉法駁回周鳳山ˇ國賠聲請。 陳定南拒絕【國賠】
不巧、有陳水扁政府擅自執行違法特赦作為▃▃請蔡英文總統親口說:罪證確鑿的「張博雅偽造文書」,檢察官是可以「違背法令予不起訴」! nt.aspx?n=124&sms=8912&s=3723
https://photos.google.com/share/AF1QipPAN72l61AHWi4vARotZPZTaLyzJbH37__Uu5EgvSPRuergwOcqllbRnfPi0UX6-Q?key=Y1N4R3dFUF9RNzl2aXdwY0FubWRpWUJsWGdDUTdn
官員有權無責台灣社會特權天下▃▃貧苦百姓▃▃只有任特權予取予求的宰割了▃▃民進黨政權的法院▃▃是台灣同胞的https://www.cy.gov.tw/News_Content.aspx?n=124&sms=8912&s=3723絕命之處
https://photos.google.com/share/AF1QipP_wP3CcWvufADKTZ3pr5cp9xHeN4YHjvu5iynnibPGRGh9mnqq9ZBOQetrO0AILg?key=TDBnQjJxNnBLSXoxVWZCWTlvaWpRSFV3SE5qUGVB
(蔡總統專機集體結夥私菸案於是發生了)
受冤者周鳳山長期因長期失眠引起腦血管堵塞造成疾病 因中風以用救護車急救送醫院急救救命失民腦衰弱必須長期吃藥治療失眠因而引起腦病變中風送醫急救
民進黨蔡英文政府公權力▅▅▅不依法處理怠惰的態度,等於急救送醫急救直到周鳳山沒命為止
民進黨蔡英文政府公權力▅▅▅就是不依法故意違法拖、違法拖就是不還周鳳山憲法、法律所保障的人民法義。
蔡英文政府公權力▅▅▅要製作冤案更要把被冤民給冤死進棺材的方式解決冤命案受冤者周鳳山長期因長期失眠引起腦血管堵塞造成疾病 因中風以用救護車急救送醫院急救救命失民腦衰弱必須長期吃藥治療失眠因而引起腦病變中風送醫急救
除非閣下有個足夠硬的命否則只有冤死一條路?除非閣下的命夠硬
不巧的、也擅自執行違法特赦作為▃▃請蔡英文總統親口說:罪證確鑿的「張博雅偽造文書」,檢察官是可以「違背法令予不起訴」! (蔡總統專機集體結夥私菸案於是發生了)nt.aspx?n=124&sms=8912&s=3723
不巧、有陳水扁政府擅自執行違法特赦作為▃▃請蔡英文總統親口說:罪證確鑿的「張博雅偽造文書」,檢察官是可以「違背法令予不起訴」! nt.aspx?n=124&sms=8912&s=3723
https://photos.google.com/share/AF1QipPAN72l61AHWi4vARotZPZTaLyzJbH37__Uu5EgvSPRuergwOcqllbRnfPi0UX6-Q?key=Y1N4R3dFUF9RNzl2aXdwY0FubWRpWUJsWGdDUTdn
官員有權無責台灣社會特權天下▃▃貧苦百姓▃▃只有任特權予取予求的宰割了▃▃民進黨政權的法院▃▃是台灣同胞的https://www.cy.gov.tw/News_Content.aspx?n=124&sms=8912&s=3723絕命之處
https://photos.google.com/share/AF1QipP_wP3CcWvufADKTZ3pr5cp9xHeN4YHjvu5iynnibPGRGh9mnqq9ZBOQetrO0AILg?key=TDBnQjJxNnBLSXoxVWZCWTlvaWpRSFV3SE5qUGVB
(蔡總統專機集體結夥私菸案於是發生了)
https://photos.google.com/share/AF1QipPAN72l61AHWi4vARotZPZTaLyzJbH37__Uu5EgvSPRuergwOcqllbRnfPi0UX6-Q?key=Y1N4R3dFUF9RNzl2aXdwY0FubWRpWUJsWGdDUTdn
官員有權無責台灣社會特權天下▃▃貧苦百姓▃▃只有任特權予取予求的宰割了▃▃民進黨政權的法院▃▃是台灣同胞的絕命之處
https://photos.google.com/share/AF1QipP_wP3CcWvufADKTZ3pr5cp9xHeN4YHjvu5iynnibPGRGh9mnqq9ZBOQetrO0AILg?key=TDBnQjJxNnBLSXoxVWZCWTlvaWpRSFV3SE5qUGVB
不巧、有陳水扁政府擅自執行違法特赦作為▃▃請蔡英文總統親口說:罪證確鑿的「張博雅偽造文書」,檢察官是可以「違背法令予不起訴」! nt.aspx?n=124&sms=8912&s=3723
https://photos.google.com/share/AF1QipPAN72l61AHWi4vARotZPZTaLyzJbH37__Uu5EgvSPRuergwOcqllbRnfPi0UX6-Q?key=Y1N4R3dFUF9RNzl2aXdwY0FubWRpWUJsWGdDUTdn
官員有權無責台灣社會特權天下▃▃貧苦百姓▃▃只有任特權予取予求的宰割了▃▃民進黨政權的法院▃▃是台灣同胞的https://www.cy.gov.tw/News_Content.aspx?n=124&sms=8912&s=3723絕命之處
https://photos.google.com/share/AF1QipP_wP3CcWvufADKTZ3pr5cp9xHeN4YHjvu5iynnibPGRGh9mnqq9ZBOQetrO0AILg?key=TDBnQjJxNnBLSXoxVWZCWTlvaWpRSFV3SE5qUGVB
(蔡總統專機集體結夥私菸案於是發生了)




