Contents ...
udn網路城邦
人生紀錄本
(
到舊版
)
生活點滴,感想, 學習心得, 好文分享
文章
相簿
訪客簿
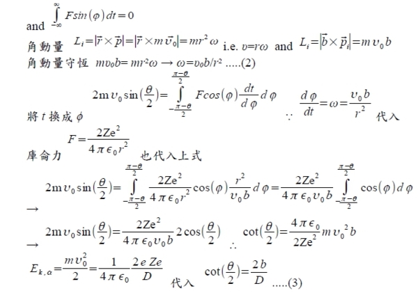
拉瑟福散射
2018
/
04
/
22
16
:
35
瀏覽
630
迴響
0
推薦
0
引用
0
連結:
中山大學開放課程 近代物理(邱雅萍教授)
回覆
推薦
引用
有誰引用
我要引用
引用網址
列印
全站分類:
知識學習
|
隨堂筆記
自訂分類:
材料科學
上一則:
波爾原子模型
下一則:
光的粒子性: 光電效應和康普吞散射
你可能會有興趣的文章:
量子力學
熱力第二定律
合金熱力學基礎
矩陣
第八章 Java程式語言開發軟體系統的實際案例
第五章 物件導向技術的基本觀念
發表迴響
會員登入
+
=
※ 請計算輸入數字
送出迴響
作家
加入好友
推薦部落格
訂閱關注
留言給他
宋坤祐
個人小檔案
部落格推薦
:
0
等級
:
7
點閱人氣
:
566,371
本日人氣
:
101
文章創作
:
256
相簿數
:
36
搜尋
輸入關鍵字:
搜尋
文章分類
prev
月曆
12 月(1)
8 月(1)
6 月(1)
5 月(3)
4 月(3)
2 月(1)
1月 (1)
文章排行榜
最新發表
最新回應
最新推薦
熱門瀏覽
熱門回應
熱門推薦
中有教授聽聞解脫密法
氣體動力論
原子結構與光譜
量子力學
統計熱力學
量子概念事件簿
精選文章
吳岳老師談生命旅程的兩個提醒
我推薦的文章
擴散
>
部落格推薦人
more
標籤
RSS
RSS
部落格聯播