久仰詩人周棄子先生遺作<未埋庵短書>大名,惜不論是文星版或領導版均絕版已久,遍尋冷攤多年無果,網路拍賣場上久久始現身一次,然成交價屢創新高,已成夢幻珍本,非敝人這等窮措大所能聞問,只能列入BEST
WISH LIST清單內巴望奇蹟發生。
幸好書友yihwa藏有一冊,慷慨出借敝人一閱以開眼界。恭敬拜讀一遍,出乎意料發現書中竟有一段文字提到知堂先生周作人,資料可貴,湮沒可惜,遂將它抄出,以饗同好。
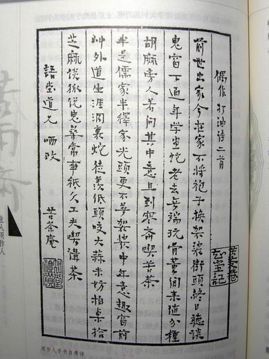
<未埋庵短書>係於「談打油詩」一文(第190頁)提到周作人:
「抗戰前兩三年,那個後來作了漢奸的知堂老人周作人,在雜誌上發表了一首打油詩:
『前世出家今在家,不將袍子換袈裟。
街頭終日聽談鬼,窗下通年學畫蛇。
運去無端玩骨董,閒來隨分種胡麻。
旁人若問其中意,請到寒齋吃苦茶。』
這首詩當時論語派中人,大捧特捧,一和再和。弄得轟動一時,引起左派文人的攻擊。林語堂等為他辯護,於是又有了什麼『寄沉痛於悠閒』的說法。這說法的本身當然也有點道理,但周作人的原詩,確實不夠這標準。除了末尾兩句,略有一絲感慨之外,前幾句都湊得很,頭兩句尤其空。嚴格的講,這首詩,只是既非正規、又非打油的四不像,當時可算是浪得名了。」
這段文字很明白,不過因顧及朋友們或許對於中國三十年代文壇及知堂先生背景不很熟悉,敝人姑且妄作箋注,努力抄書,嘗試作些簡單說明。
「抗戰前兩三年」:指公元1934年。
「後來作了漢奸」:1937年7月29日,日軍進入北平。周作人自稱因家累不能南行而留守。後來在種種因素作用之下(這個過程可能要另外抄書一兩萬字來說明),1939年1月12日接任日偽臨時政府控制下的北京大學圖書館館長一職。1940年12月19日,汪精衛國民政府中央政治委員會第31次會議通過:「特派周作人為華北政務委員會委員,並指定為常務委員兼教育總署督辦」,等於是教育部長。1943年2月8日被解職。二戰結束後,1945年12月6日被蔣介石國民政府軍警於家中逮捕(coolchet註:倪墨炎「苦雨齋主人周作人」記為1945年10月6日,有誤),1946年5月27日押送南京老虎橋監獄,其後受審、定罪、服刑。在老虎橋服刑期間,黃裳曾經進去採訪過他。
「雜誌」:係指林語堂先生創辦,於1934年4月5日出版的《人間世》雜誌創刊號。
「發表了一首打油詩」:按周作人五十歲壽辰為1934年1月15日。當天八道灣周家設宴5席,好不熱鬧。周作人興致一來,在1月13日、15日各作一首「牛山體」打油詩。原本只是手寫抄送親朋好友,林語堂得到一份之後,也不知是否曾得到知堂老人的同意,將兩首打油詩發表於《人間世》創刊號,且加上題目:「五秩自壽詩」(也有文獻寫成「五十自壽詩」),還附了一張大照片。故周棄子說「一首」,並不正確。說「發表」,也不儘然對,至少並非知堂老人主動的、刻意的請林語堂發表。
「前世出家」:據說周作人出生當晚,一位堂房阿叔半夜在內堂撞見一貌似僧人的白鬚老者,旋即不見,恰巧周作人於後半夜出生,故族人傳言周作人乃老僧投胎,周作人自己也頗喜歡這個傳說,不但拿來入詩,晚年寫回想錄也提到。
「畫蛇」一詞,本不必箋注,大致有「畫蛇添足」無聊多閒之意。不過,最近敝人翻書比對才了解,就在1933年10月,寫自壽詩前不久,周作人才寫了一篇名為「畫蛇閒話」的文章(後來收錄於「夜讀抄」),該文對古人一班老夫子們只知禮教道德,不懂物理、人情頗不以為然,譏刺一番:「只會閉目誦經,張目罵賊,以為衛道,亦復可笑」。
另,敝人淺見,此句之「蛇」字似乎應讀成古音如「霞」(閩南語有此音)方能押韻。
「請到寒齋吃苦茶」:周作人1965年12月28日致鮑耀明書信中解釋,此句典故來自夏目漱石的<吾是貓>下卷。「苦沙彌得到從巢鴨瘋人院裡的『天道公平』來信,大為佩服,其末尾一句,則為『御茶でもあがれ』此即是請到寒齋吃苦茶的原典也。」
至於「苦茶」原也不必箋注,不過周作人文章中常出現的苦茶,似乎不是台北重慶北路「苦茶之家」那種苦到可以忘記自己腦袋尚在否的「苦茶」,經過敝人考證,應泛指一般綠茶、清茶、台灣話的「茶米茶」。周作人在「關於苦茶」文中說:「一位友人因為記起吃苦茶的那句話(coolchet註:即「請到寒齋吃苦茶」句),順便買了一包特種的茶葉(coolchet註:苦丁茶,苦茶之家的苦茶?)拿來送我,這是我很熟的一個朋友,我感謝他的好意,可是這茶實在太苦,我終于沒有能夠多吃。」可見若真是苦味之茶,自號苦茶庵的知堂老人也弗能受用。
「論語派」:1932年9月16日,林語堂和潘光旦、李青崖、邵洵美、章克標等創辦期刊《論語》,他們稱:「我們同人,時常聚首談論……這是我們『論』字的來源。至於『語』字,就是談話的意思,便是指我們的談天。」這份半月刊以「幽默閒適」和「性靈嬉笑」見長,借「笑」暴露黑暗現實,有諷世之意。常寫文章發表於「論語」的這幾位作家被稱為「論語派」,林語堂即是這一派的代表人物。
「左派文人」:當時攻擊最力又最有名的左派文人是廖沫沙、胡風幾位。
那麼,左派文人為何要罵要攻擊呢?這個問題蠻大的。不如先了解原詩及眾人和詩內容。
當時《人間世》雜誌上刊登知堂先生的另一首打油詩全文如下:
「半是儒家半釋家,光頭更不著袈裟。
中年意趣窗前草,外道生涯洞裡蛇。
徒羨低頭咬大蒜,未妨拍桌拾芝麻。
談狐說鬼尋常事,只欠工夫吃講茶。」
詩本身的問題暫且不論,但是這兩首詩一定是觸動了當時文人們的某一條神經,啟動了心靈上某個機制,導致幾位知名文人紛紛唱和,一和再和,你和我也和,滿城轟動,終於把左派文人惹火,鬧出一件不大不小的文壇風波,其中幾位甚至結下一輩子的恩怨。
《人間世》創刊號同時刊登劉半農、沈尹默、林語堂的和詩。其中林語堂的《和京兆布衣八道灣居士豈明老五秩詩原韻》:
「京兆紹興同是家,布衣袖闊代袈裟。
祇戀什剎海中蟹,胡說八道灣里蛇。
織就語絲文似錦,吟成苦雨意如麻。
別來但喜君無恙,徒恨未能與話茶。」(coolchet註:業強版錢理群「凡人的悲哀-周作人傳」書中此句作:「徒恨未能『共』話茶」,倪墨炎「苦雨齋主人周作人」書中此句作:「徒恨未能『與』話茶」,不知何者為是?)
林語堂詩不脫幽默本色,第二聯結合「胡說八道」及「八道灣」頗搞笑捉狹,按當時周家即座落於北京「八道灣」內。
第三聯的「語絲」係指以魯迅、周作人兄弟為靈魂的文學社團「語絲社」及《語絲》週刊。
「苦雨」係周作人作品中的重要意象之一,因八道灣周家遇雨即積水,輒為雨所苦,故周作人取齋名為「苦雨齋」,大書家沈尹默為之題字。
而沈尹默的和詩兩首,其一為:
「五十平頭等出家,兩重袍子當袈裟。
無意降龍和伏虎,關心春蚓到秋蛇。
先生隨處看桃李,博士平生喜豆麻。
這種閒言且休說,特來上壽一杯茶。」
《人間世》第二期刊登蔡元培和詩兩首、沈兼士和詩一首。
蔡元培和詩全文如下:
其一:
「何分袍子與袈裟,天下原來是一家。
不管乘軒緣好鶴,休因惹草卻驚蛇。
捫心得失勤拈豆,入市婆娑懶績麻。(原注:君已到廠甸數次矣。)
園地仍歸君自己,可能親掇雨前茶。(原注:君曾著<自己的園地>)」
其二:
廠甸灘頭賣餅家,肯將儒服換袈裟。(原注:君在廠甸購戴子高論語注。)
賞音莫泥驪黃馬,佐斗寧參內外蛇。
好祝南山壽維石,誰歌北虜亂如麻。
春秋自有太平世,且咬饃饃且品茶。
蔡元培另有一首和詩《新年用知堂老人自壽韻》寄給周作人,幾十年後才發表於<知堂回想錄>:
「新年兒女便當家,不讓沙彌袈了裟(原注:吾鄉小孩子留髮一圈而剃其中邊者,謂之沙彌。癸巳類稿三,精其神一條引經了筵陣了亡等語,謂此自一種文理。)
鬼臉遮顏徒嚇狗,龍燈畫足似添蛇。
六么輪擲想贏豆(原注:吾鄉小孩子選炒蠶豆六枚,於一面去殼少許,謂之黃,其完好一面謂之黑,二人以上輪擲之,黃多者贏,亦仍以豆為籌碼),教語蟬聯號績麻(原注:以成語首字與其它末字相同者聯句,如甲說「大學之道」,乙接說「道不遠人」,丙接說「人之初」等,謂之績麻)。
樂事追懷非苦語,容吾一樣吃甜茶(原注:吾鄉有吃甜茶講苦話之語)。」
錢玄同發表和詩刊登在第3期(錢理群說錢玄同率先和詩,有誤):
其一:
「但樂無家不出家,不皈佛法沒袈裟。
腐心桐選怯邪鬼,切齒綱倫打毒蛇。
讀史敢言無舜禹,談音尚欲析遮麻。
寒霄凜冽懷三友,蜜桔酥糖普洱茶。」錢玄同自註:「也是自嘲」。
其二:
要是咱們都出家,穿袈是你我穿裟。
大嚼白菜盤中肉,飽吃洋蔥鼎內蛇。
世說專談陳酉靺,藤陰愛記爛芝麻。(原注:酉靺,Humor之一譯音。Humor通譯幽默。)
羊羔蛋餅同消化,不怕失眠盡喝茶。
提倡白話詩最力的胡適也寫了《和苦茶先生打油詩》:
「先生在家像出家,雖然弗著啥袈裟。
能從骨董尋人味,不慣拳頭打死蛇。
吃肉應防嚼朋友,打油莫待種芝麻。
想來愛惜紹興酒,邀客高齋吃苦茶。」
其二《再和苦茶先生,聊自嘲也》:
「老夫不出家,也不著袈裟。
人間專打鬼,臂上愛蟠蛇。
不敢充油默,都緣怕肉麻。
能干大碗酒,不品小鍾茶。」胡適在信中自注:「昨詩寫吾兄文雅,今詩寫一個流氓的俗氣。」
基本上大家都寫得風趣幽默,自諷自嘲,這是這幾位自由主義份子在當時政治、社會氣氛下,僅能表達的小小不滿,遂退化為些許消極閉世心態。自五四以來已歷十數年,經現實生活磨難,思想不復當年那般「浮躁凌厲」(知堂致俞平伯信中語)矣。行動上更加使不上力,只能玩骨董、喝苦茶了。
幾位名人雅士和得高興,詩句中瀰漫濃濃閒散氣息,終於引起思想前進的左翼文人及時代熱血青年們反譏及反擊。
胡適在給周作人信中曾抄錄了廣西寄來署名「巴人」所寫《和周作人先生五十自壽詩原韻》五首,其一「刺彼輩自捧或互捧也」略以:
「幾個無聊的作家,洋服也妄充袈裟。
大家拍馬吹牛屁,直教兔龜笑蟹蛇,、、、
飽食談狐兼說鬼,群居終日品煙茶」
;其二「刺從舊詩陣營打出來的所謂新詩人復作舊詩也」略以:
「失意東家捧西家,脫了洋服穿袈裟。
自愧新詩終類狗,舊詩再作更畫蛇。」
;其三「刺周作人冒充儒釋醜態也」略以:
「充了儒家充釋家,烏紗未脫穿袈裟。
既然非驢更非馬,畫虎不成又畫蛇。」
此外還有「刺疑古玄同也」、「刺劉半農博士也」等,有和皆刺,字句非常辛辣,火氣也大。這位「巴人」先生的「和詩」恐怕更不能入棄子先生法眼,但是卻道出當時左翼青年們的心聲及對周作人這群人士的不滿。
不滿的人還有廖沫沙,4月14日用筆名「埜容」於「申報。自由談」發表「人間何世?」一文開戰,文中也有和詩:
「先生何事愛僧家?把筆題詩韻押裟。
不趕熱場孤似鶴,自甘涼血冷如蛇。
選將笑話供人笑,怕惹麻煩愛肉麻。
誤盡蒼生欲誰責,清談娓娓一杯茶。」
按此篇名「人間何世?」亦有典故,因「人間世」係林語堂辦的另一種期刊。「選將笑話」一句係指知堂於1933年出版的「苦茶庵笑話選」。
胡風隨即發表「過去的幽靈」,指責:「當年為詩底解放而鬥爭過的『小河』的作者,現在在這裡『談狐說鬼』」(coolchet註:按『小河』係周作人於1919年2月15日發表的一首新詩,詩中洋溢悲天憫人的憂鬱。),並質問:「周先生現在自己所談的鬼,聽人家談的鬼,是不是當年他翻譯(愛羅先珂《過去的幽靈》)的時候,叫我們防備的幽靈呢?昔日熱烈地叫人防備,現在卻促膝而談之,不曉得是鬼們昔日雖然可惡而現在卻可愛起來了呢,還是因為昔日雖然像現在的批評家似的『浮躁』,而現在的八道灣居士卻功滿圓成,就是對於小鬼也一視同仁了?」這話罵得凶,導致晚年知堂對於胡風仍是恨得牙癢,一輩子記得。
甚至遠在馬來亞,也有人出來罵。在檳城有位隨安老人於當地的「繁星」雜誌發表一首和詩:
「遼陽歸雲已遠家,逃世難披一襲裟。
願入深山驅猛虎,誓將飛劍抉長蛇。
機聲嚇斷黃梁夢,氣素沖銷粉腿麻。
塞外青紗昏慘慘,幾人到此品新茶?」
五十自壽詩發表於1934年,那時候全世界都在亂,政治、經濟的鼎沸只是在醞釀著第二次世界大戰。國際上,日德義蠢蠢欲動,日本步步侵逼中國,中國境內則是共產黨和國民黨正在武裝內鬥,內外交逼、國家動盪之際,當年五四健將、五四導師周作人為何逃避現實,聽鬼畫蛇,喝茶聊天,不問國是,背叛五四新文學新思潮熱血救國的傳統?這是左翼文人及熱血青年所不解,並心生憤怒的一關鍵點。
風波鬧大了後,林語堂在《申報。自由談》上發表《周作人詩讀法》為知堂辯解,認為周作人自壽詩係「寄沉痛於悠閒」,「長桀沮溺乃世間熱血人,明人早有此語」、、、、「後之論史者,每謂清談亡國,不啻為逆閹洗煞,陋矣,且亦冤矣」!把亡國責任全推到清談文士身上,等於替執政者卸責,這太冤枉了。
多年以後,知堂寫「知堂回想錄」時,認為這件公案還是以魯迅的批評最為適當。魯迅當時沒有公開他的看法,直到「魯迅書簡」發表後,知堂才看到。1934年4月30日,魯迅在寫給曹聚仁的私人信件中,寫到:「周作人自壽詩,誠有諷世之意,然此種微辭,已為今之青年所不瞭,群公相和則多近於肉麻,於是火上添油,遽成眾矢之的,而不作此等攻擊文字,此外近日亦無可言。此亦『古已有之』,文人美女必負亡國之責,近似亦有人覺國之將亡,已在卸責於清流或輿論矣。」他的看法與林語堂類似。
難能可貴之處在於魯迅寫此信時,距離他們兩兄弟「相罵毆打」失和、不相聞問已經十年,魯迅還能客觀評論此事,真正了解自己兄弟,知堂感到「佩服」。論事該持平時就是持平,由此亦可見魯迅處世的性格。數十年光陰過去,魯迅已逝,知堂已老,寫回憶錄時想到了這封信,體會到魯迅的「理解」,知堂的心中除了佩服之外,不知是否曾感到一絲暖意呢?
跑野馬跑得太遠,再重新回到周棄子評知堂打油詩乙節。
總的看來,詩人周棄子果然是渡海大家,首先即以高標準來定義「打油詩」。他認為先要傳統、正宗舊體詩作得好,才能作好「打油詩」。一般常見油嘴滑腔、粗鄙不文的「打油詩」根本不是打油詩,甚至根本不是詩,不值一顧。以他的標準來看知堂「五十自壽詩」,是又湊又空,四不像,全然不夠格稱為打油詩。
棄子先生以傳統舊體詩高標準定義「打油詩」在先,又用這標準來檢驗一首由不是專業詩人的「詩人」所寫,原本僅自娛自樂的「打油詩」,敝人覺得彷彿是重量級拳手在賽場上挑選一位羽量級選手,然後一出拳就用盡力氣企圖把對方擊倒。對原則毫不妥協,由此亦可見棄子先生處世的性格。
至於詩中的聽鬼畫蛇,曾經被左翼文人攻得體無完膚的部分,棄子先生沒有意見。「、、、於是又有了什麼『寄沉痛於悠閒』的說法。這說法的本身當然也有點道理、、、」可見棄子先生畢竟屬於舊時代文人,思想上或許靠近知堂、語堂等自由主義文人這一派,至少可以理解他們當年的心境。
回顧當年一場風波,倒是沒有人針對「五十自壽詩」是不是符合詩格詩律、表達能力、湊不湊、空不空進行批判。大概當年人人了解知堂先生原本就非傳統詩人,雖然受過舊式教育,新、舊詩也寫了一些,拿手的卻是翻譯、散文、雜文等新文學項目。罵的重點在思想,不在格律技巧。
至於是否「浪得名」,知堂先生在寫「自壽詩」之前就已經夠有名了,「自壽詩」問世後不論得到美名罵名,都是他人強加的,知堂自己既無預期,也無能左右。不管這個名「浪不浪」、「得不得」,這兩首詩及引起的風波已經留名中國三十年代文學史了。
知堂老人倒是有自知之明的。在「回想錄」里說:「本來是打油詩,乃是不登大雅之堂的東西,挨罵正是當然。」不登大雅之堂的東西,因為作者的名氣,竟亦皇皇登上那個堂。也果然挨罵了。當年就已經被罵得慘,豈知數十年後還要挨罵。此人後半輩子在挨罵中過,所謂「挨罵正是當然」,說得也很心酸。
1964年,八十歲的知堂又寫了八十自壽詩一首,但不敢再發表了,只錄示二、三友人,聊作紀念。
從這件風波中,敝人倒有個體悟,知堂「五秩自壽詩」其中透出「寄沉痛於悠閒」的心情,是否與周棄子先生渡台後悲觀消極、喪氣沉鬱的心態有若干相似之處呢?手上沒有足夠資料,尤其沒有「周棄子先生集」及先生較詳盡的傳記,故沒有能力再抽絲剝繭,進行更深入探討了。
行文至此,歹戲拖棚,本該結束,不意13日中午去誠品逛書,翻文訊雜誌257期(2007年3月號),發現內有一篇彭歌先生懷念周棄子先生的文章「此世只是一夢--寂寞詩人周棄子」。文章結束處,彭歌先生寫了:「他(按:棄子先生)最喜歡的一句話,是日本作家永井荷風說的:『凡是無常、無望、無告的,使人嗟嘆此世只是一夢的,這樣的一切東西,於我都是可親,都是可懷。』在他去世二十多年之後,我漸漸懂得了『此世只是一夢』的道理,更加深了對他的懷念。」
阿,周棄子先生最喜歡的永井荷風這段話,正是知堂先生翻譯的!這段文字也是知堂最喜歡的一段,常常在自己文章內一引、二引、再引,永誌不忘,凡是愛好知堂文章的朋友都幾乎會背了。萬想不到竟然在這個地方找到兩位文學大家心靈思想相通的交集點。
透過彭歌先生的文章讓我讀到一向不熟悉的棄子先生的個人心境。透過永井荷風的文字,證明知堂與棄子二位確實在美學素養與人生情懷上有某些相似之處。冥冥中似乎有不可測的力量適時提供知堂與棄子之間另一條聯繫給我,似乎翻出一個答案給我,又好像同時遞出另一個問題給我。
唉,知堂著作如海般廣,棄子心事如海般深,我只是一個剛剛抵達海邊的遊客,被海水輕輕浸濕腳板跟而已阿。如果想測文學之海多麼深廣,還有很多書要繼續找,還有很多書要繼續讀!
後記:
這篇文章原本只想把周棄子評知堂一段文字抄出來,給喜好知堂文章同好如東山老師、pk2
欣賞就了事,因正逢台北知名古本屋「舊香居」預定於2007年3月20日起舉辦「三十年代新文學風華」展覽,遂給我一個靈感!
不如把抄書範圍擴大,加一些自以為是的註解,加上敝人不成熟的淺見、臆測,順便把手邊能夠找到的「五十自壽詩」相關資料也一併抄了。等於把幾位三十年代的著名作家文人也拉出來亮相。有名人、有趣聞、有文壇恩怨,或可顯露一些些「三十年代新文學風華」,聊資談助。雖然抄得很高興,只是為避免文章變成過於龐大雜蕪,有一些東西也就忍痛省略不抄(例如沈兼士的和詩、牛山體典故等)。或許以後再補了。
「舊香居」女主人吳小姐為了辦這個展覽活動,從去年底忙到現在,過了新曆年也過了舊曆年,忙個沒停,臉頰更加削瘦(已到內凹的程度),算是自找苦吃。她說,並沒打算藉此營利,活動本身是不收費的,完全是一個「古本屋女主人」的使命感支撐她,要讓新一代年輕人一次觀賞五百多本原本只能看看書影照片(或根本沒有書影照片可看)的中國三十年代文學珍本書籍的廬山真面,藉此提升新一代人讀書、藏書的風氣與品味。至於展覽後這批書要如何處理,那是以後的事,以後再說。
這個展覽我是非看不可的,據說24日的開幕茶會吃吃喝喝也是免費,那更是非去不可!在此謹預祝舊香居「三十年代新文學風華」展覽活動順利成功!



