Contents ...
udn網路城邦
DeutschHK 的部落格
(
到舊版
)
文章
相簿
訪客簿
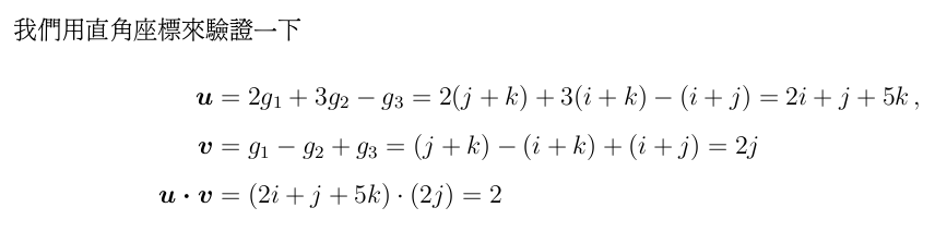
微分?幾何? -26張量_8
2008
/
05
/
15
07
:
08
瀏覽
778
迴響
0
推薦
3
引用
0
黎曼這小子 還真會 觸類旁通
那啥是 ``度量張量" ? 高斯問
回覆
推薦
引用
有誰引用
我要引用
引用網址
列印
有誰推薦
more
全站分類:
不分類
|
不分類
自訂分類:
張量
上一則:
微分?幾何? -27張量-9
下一則:
微分?幾何? -25張量_7
你可能會有興趣的文章:
微分?幾何 ? 691 --- 立委選舉/艋舺青山宮
微分?幾何 ? 686 --- 立委選舉/提存書
微分?幾何 ? 681 --- 立委選舉/ 街頭立委 -1
微分?幾何 ? 676 --- 立委選舉/ 地政事務所--憲法訴訟法
微分?幾何 ? 671 --- Gauss-Bonnet 定理-25 陳老頭的絕招! $d\Phi^2_1$-2
微分?幾何 ? 666 --- Gauss-Bonnet 定理-20 架橋渡河!過河拆橋! $d\Phi^2_0$
發表迴響
會員登入
+
=
※ 請計算輸入數字
送出迴響
作家
加入好友
推薦部落格
訂閱關注
留言給他
亞魯司基
個人小檔案
部落格推薦
:
9
等級
:
8
點閱人氣
:
841,643
本日人氣
:
0
文章創作
:
697
相簿數
:
10
搜尋
輸入關鍵字:
搜尋
文章分類
prev
月曆
8 月(1)
7 月(4)
6 月(5)
5 月(5)
4 月(6)
3 月(7)
2月 (1)
文章排行榜
最新發表
最新回應
最新推薦
熱門瀏覽
熱門回應
熱門推薦
微分?幾何 ? 696 --- 熱風邪-4/大建中湯-4
微分?幾何 ? 695 --- 熱風邪-3/中風-24
微分?幾何 ? 694 --- 熱風邪-2
微分?幾何 ? 693 --- 立委選舉/熱風邪-1
微分?幾何 ? 692 --- 立委選舉/熱風邪
微分?幾何 ? 691 --- 立委選舉/艋舺青山宮
精選文章
微分? 幾何? 554 ---Gauss-Bonnet 定理-5/ 反對稱矩陣的行列式
微分?幾何? -151 拓樸 /單形
微分?幾何? -141 置換群
微分?幾何? -104 拋物面座標與拋物圓柱座標的向量場表示
微分?幾何? -83 中醫 27 大佛頂首楞嚴經
我推薦的文章
桃仔園驚營之夜(前言)--小說
海風酒店 山林 未曾深思的事
朋友別哭 (宜蘭冬山伯朗大道)
【心情日記】爸爸累了嗎?難道爸爸退休了嗎?
司徒衛生平及作品
維根斯坦
供養智者,試其智慧
記北京暴雨水澇之災
超狂「大清寶鈔」古物被子孫稱小廢物!收購父母遺留舊字畫,長輩移民搬家不要的舊東西,紙鈔,錢幣,國畫及書法作品~
拼多多是中國最可怕程式
>
部落格推薦人
more
標籤
RSS
RSS
部落格聯播