微分?幾何? -22張量_4
2008/05/14 07:25
瀏覽885
迴響1
推薦5
引用0

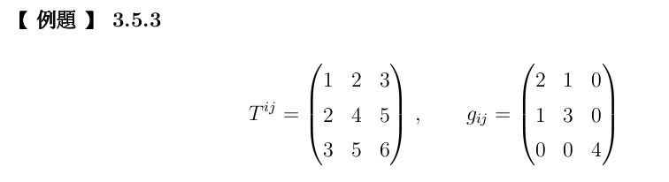
指標 i,j全部在下的 稱作協變張量
指標 i,j全部在上的 稱作反協變張量 又叫作 反變張量
指標 i,j一上一下的 稱作混變張量 又叫作 雜張量
高斯跟黎曼 很仔細地聽奇维塔在說
而雜張量的表示法 要特別注意
i 與 j 上下是有空格的 i 不能直接寫在 j 的下方 要空一格再寫
有些書會用一點表示空格
這四種表示法 並不是相互獨立的
我們舉一個例子





你可能會有興趣的文章:
迴響(1) :
- 1樓. 時和2008/12/01 14:30下面的例子是矩陣相乘嗎?
第一 row (1, 2, 3) 乘 (dot) 第二 column (1, 3, 0) 的答案是 7!但是為何寫成 8?














